REVISTA DE INVESTIGACIÓN CIENTÍFICA PARA ALUMNOS DE ENSEÑANZA SECUNDARIA

2011
15

Investigación en Secundaria

Edita I.e.S.
Investigación en Secundaria
I.S.S.N.: 1137-8794
Dep. Legal CC-62-1997
Imprime: COPEGRAF, S.L. Cáceres.
![]()
Fotografía de cubierta de José M. Rivero
![]()


![]()
![]()

IeS
REVISTA DE INVESTIGACIÓN CIENTÍFICA PARA ALUMNOS DE ENSEÑANZA SECUNDARIA
15
2011

I.e.S.
![]()
![]()
Departamento de Biología y Geología IES Universidad Laboral
Avda. de la Universidad, 53 10003 CÁCERES
![]()
CONSEJO DE REDACCIÓN
José Manuel Rivero Martín (director) Fernando Durán Oliva
Javier Escudero Escudero Luís Ramos Llanos
CONSEJO ASESOR
![]()
Dra. Dª Pilar Alonso Rojo (Universidad de Salamanca)
Dr. D. José Julián Calvo Andrés (Universidad de Salamanca)
Dra. Dª Pilar García Rodríguez (Universidad Complutense de Madrid)
D. Edgar Fabián Gómez (I.E. CASD Simón Bolívar, Valledupar (Cesar) –Colombia–)
D. Rafael Margallo Toral (IES Santa Clara, Santander)
Dr. D. Ángel Puerto Martín (Universidad de Salamanca)
Dr. D. Víctor José Rodríguez Martín (IES La Vaguada, Zamora)
Dª Consuelo Ruiz Medina (IES Azuer, Manzanares –Ciudad Real–)
Dra. Dª María del Carmen Sánchez Bernal (Universidad de Salamanca)
MERIDIES 15
ÍNDICE
J. M. RIVERO MARTÍN. Quince años. 5
J. L. VIEJO MONTESINOS. Los insectos como alimento humano: ¿Por
L. M. MARTÍN y M. A. MARTÍN. Sostenibilidad de la biodiversidad agrícola y forestal. 17
B. ÁLVAREZ, V. LAVADO, E. RAMÍREZ, M. SANTOS, C. UÑAC y L.
F. PERALTA*. Dejando huella. 23
L. IPARRAGUIRRE, O. IPARRAGUIRRE y J.C. LIRAZAZU*. Las impurezas del aire que respiramos: Estudio en la Bahía de Pasaia. 27
I. CÁCERES, M. COSTA, I. GÓMEZ, M. GUTIÉRREZ, Y. GUZMÁN,
A. MARTÍN, M. RODRÍGUEZ, E. SÁNCHEZ, M. I. SIERRO, C.
GÁLVEZ* y A. PÉREZ*. Refrescos de cola que disuelven la carne: 35
A. MONCLÚS, J.A. QUILES y M.P. MENOYO*. Proyecto basado en la viabilidad de la transformación de una vivienda convencional en una 41
vivienda autosostenible en términos energéticos.
Á. FUENTES y M. T. GIRALDA*. Transgénicos. ¿Transgresores? 47
A. GARCÍA, I. RAMÍREZ, N. SÁNCHEZ y J.C. LIRAZAZU*. Zubitxo erreka-lezo recuperación ambiental ¿utopía o realidad? 53
TERCERO, I. CRUZ, B. SÁNCHEZ, N. ROLDÁN y F. VENEGAS. 61
Presencia del número áureo en la geometría de especies características de la flora vascular mediterránea.
I. RUIZ DE LA CONCHA*; A. LLERA, M. MEGIAS & G. RUIZ.
Investigating the effect of living space on the growth of plants. 67
Indicaciones y normas para la publicación en MERIDIES 71

![]()
QUINCE AÑOS
J. M. RIVERO MARTÍN
MERIDIES 15. Son ya quince años los que esta revista lleva apareciendo cada mes de junio con los trabajos de investigación de jóvenes quinceañeros. ¡Quince años! Parece mentira. Más increíble parece que los autores de los trabajos sean “jóvenes quinceañeros”. Pero es cierto.
En 1997 apareció el primer número de esta revista. Se denominó MERIDIES porque nacía en un país del sur de Europa y en la mitad sur de España. Algo así como “el sur también existe”. Se denominó en latín como referencia a la lengua que une a los idiomas de ese sur y lengua científica de un pasado no muy lejano.
Año tras año se han recibido en la redacción de la revista artículos científicos de muchos centros de enseñanza españoles y extranjeros. Puede ser este un buen momento para reconocer el esfuerzo y
presentar a todos los que han colaborado en este ilusionante proyecto.
Hasta hoy se han publicado en esta revista 225 (¡doscientos veinticinco!) artículos científicos redactados por estudiantes de Enseñanza Secundaria.
En total han participado estudiantes de 67 colegios e institutos. La gran mayoría de estos artículos procedían de centros españoles, pero también se han visto publicados dieciséis artículos de centros de Argentina, Bélgica, Colombia, Portugal, Perú y Suecia. Entre los centros españoles ha destacado la participación de centros extremeños pero también ha sido muy notable la participación desde otras comunidades autónomas destacando en este sentido los artículos recibidos desde el País Vasco, Cataluña, Andalucía y Madrid (ver tabla 1).
Tabla 1.- Relación alfabética de centros cuyos alumnos han colaborado con sus artículos en los quince números de MERIDIES editados hasta la fecha.
CENTRO | Localidad | Provincia o país | Artículos en MERIDIES | |
1 | Athénée Royal d'Ath | Ath | BÉLGICA | 1 |
2 | Axular Lizeoa | San Sebastián | Guipúzcoa | 1 |
3 | C.P. Bilingüe La Asunción | Trujillo | PERÚ | 3 |
4 | C.P. Cruz Valero | Fuente del Maestre | Badajoz | 1 |
5 | C.P. Ntra. Sra. de Guadalupe | Higuera la Real | Badajoz | 1 |
6 | Colegio Abad Sola | Gandía | Valencia | 4 |
7 | Colegio Alternativo Talentos | Trujillo | PERÚ | 1 |
8 | Colegio Diocesano José Luis Cotallo | Cáceres | Cáceres | 1 |
9 | Colegio El Tomillar | Badajoz | Badajoz | 1 |
10 | Colegio Garoé | Las Palmas de Gran Canaria | Las Palmas | 1 |
11 | Colegio Maristas "Ntra. Sra. Del Carmen" | Badajoz | Badajoz | 1 |
12 | Colegio Nª Sª de Montserrat | Olesa de Montserrat | Barcelona | 1 |
13 | Colegio San Agustín | Santander | Cantabria | 1 |
14 | Colegio San Antonio de Papua | Cáceres | Cáceres | 1 |
15 | Escola E.B. 2º,3º/S Pedro da Fonseca | Proença-a-Nova | PORTUGAL | 3 |
16 | Escola Hamelin-Internacional Laie | Alella | Barcelona | 1 |
17 | I.E. Santa Rosa | Trujillo | PERÚ | 1 |
18 | IE CASD Simón Bolívar | Valledupar | COLOMBIA | 5 |
19 | IES Ágora | Cáceres | Cáceres | 3 |
20 | IES Al Qázeres | Cáceres | Cáceres | 8 |
21 | IES Alagón | Coria | Cáceres | 2 |
22 | IES Arroyo de San Serván | Arroyo de San Serván | Badajoz | 2 |
23 | IES Arroyo Harnina | Almendralejo | Badajoz | 7 |
24 | IES Cieza de León | Llerena | Badajoz | 1 |
25 | IES El Brocense | Cáceres | Cáceres | 5 |
26 | IES Enrique Díez Canedo | Puebla de la Calzada | Badajoz | 7 |
27 | IES Francisco de Orellana | Trujillo | Cáceres | 2 |
28 | IES Francisco Grande Covián | Zaragoza | Zaragoza | 6 |
29 | IES Gabriel y Galán | Montehermoso | Cáceres | 1 |
30 | IES Gonzalo Torrente Ballester | Miajadas | Cáceres | 8 |
31 | IES Gregorio Marañón | Caminomorisco | Cáceres | 2 |
32 | IES Iulia Salaria | Sabiote | Jaén | 8 |
33 | IES Jalama | Moraleja | Cáceres | 1 |
34 | IES Jaranda | Jarandilla de la Vera | Cáceres | 1 |
35 | IES Joaquín Sama | San Vicente de Alcántara | Badajoz | 4 |
36 | IES Juan Manuel Zafra | Barcelona | Barcelona | 1 |
37 | IES La Zarza | La Zarza | Badajoz | 5 |
38 | IES Los Moriscos | Hornachos | Badajoz | 1 |
39 | IES Luis de Morales | Arroyo de la Luz | Cáceres | 2 |
40 | IES Manuel Godoy | Castuera | Badajoz | 2 |
41 | IES Marco Fabio Quintiliano | Calahorra | La Rioja | 1 |
42 | IES Maria Zambrano | Leganés | Madrid | 1 |
43 | IES Mario Roso de Luna | Logrosán | Cáceres | 6 |
44 | IES Mateo Alemán | Alcalá de Henares | Madrid | 6 |
45 | IES Montes Obarenes | Miranda de Ebro | Burgos | 2 |
46 | IES Narcís Monturiol | Barcelona | Barcelona | 11 |
47 | IES Parque de Monfragüe | Plasencia | Cáceres | 6 |
48 | IES Pedro de Valdivia | Villanueva de la Serena | Badajoz | 3 |
49 | IES Pedro Muñoz Seca | El Puerto de Santa Maria | Cádiz | 1 |
50 | IES Picos de Urbión | Covaleda | Soria | 1 |
51 | IES Ricardo Bernardo | Solares | Santander | 4 |
52 | IES Rodríguez Moñino | Badajoz | Badajoz | 4 |
53 | IES Sáenz de Buruaga | Mérida | Badajoz | 1 |
54 | IES San Pedro de Alcántara | Alcántara | Cáceres | 7 |
55 | IES Siberia Extremeña | Talarrubias | Badajoz | 1 |
56 | IES Tierra de Ciudad Rodrigo | Ciudad Rodrigo | Salamanca | 3 |
57 | IES Universidad Laboral | Cáceres | Cáceres | 20 |
58 | IES Valdelagrana | El Puerto de Santa María | Cádiz | 1 |
59 | IES Virgen del Puerto | Plasencia | Cáceres | 7 |
60 | IES Virgen del Soterraño | Barcarrota | Badajoz | 5 |
61 | IESO Cella Vinaria | Ceclavín | Badajoz | 1 |
62 | IESO Cerro Pedro Gómez | Madroñera | Cáceres | 1 |
63 | IESO Matías Ramón Martínez | Burguillos del Cerro | Badajoz | 5 |
64 | IPEM 204 "Ing. A. Lucchini" | Córdoba | ARGENTINA | 1 |
65 | La Anunciata Ikastetxea | San Sebastián | Guipúzcoa | 15 |
66 | Mutriku BHI | Motrico | Vizcaya | 2 |
67 | Nacka Gymnasium | Nacka | SUECIA | 1 |
MERIDIES también ha contado, desde su primer número, con artículos de colaboración de profesores e investigadores muy prestigiosos que han servido como enseñanza y estímulo para los jóvenes científicos. A lo largo de estos quince años hemos contado con cuarenta colaboradores, entre los que es muy difícil destacar a unos
pocos porque su categoría es excepcional; no obstante, por destacar sólo a dos, quiero hacerlo con Dª Josefina Castellví y Dª Margarita Salas con las que tuvimos el placer de compartir momentos extraordinarios. El listado completo de los colaboradores se recoge en la tabla 2.
Tabla 2.- Relación alfabética de profesores e investigadores colaboradores en los quince números de MERIDIES editados hasta la fecha.
Profesor/ Investigador | Centro | ||
1 | Fernando | ALFONSO CERVEL | IES San Pedro de Alcántara de Alcántara |
2 | José Ramón | ALONSO PEÑA | Universidad de Salamanca |
3 | Ignacio S. | ÁLVAREZ MIGUEL | Universidad de Extremadura |
4 | Francisco | ANGUITA VIRELLA | Universidad Complutense de Madrid |
5 | Joaquín | ARAÚJO PONCIANO | Naturalista y comunicador medioambiental |
6 | Carlos | BARRANTES NEVADO | CCMI Jesús Usón de Cáceres |
7 | Ricardo D. | BASCO LÓPEZ DE LERMA | IES Francisco de Orellana de Trujillo |
8 | Francisco | BLÁZQUEZ PANIAGUA | CPR de Don Benito-Villanueva de la Serena |
9 | José Enrique | CAMPILLO ÁLVAREZ | Universidad de Extremadura |
10 | Juan | CARRANZA ALMANSA | Universidad de Extremadura |
11 | Jorge | CASAUS ARMENTANO | CIEMAT |
12 | Josefina | CASTELLVÍ PIULACHS | Base Antártica Juan Carlos I |
13 | María Teresa | CUEVAS GONZÁLEZ-NICOLÁS | Instituto de Salud Carlos III de Madrid |
14 | Andrés | DÍEZ DE LA ROSA | Universidad de Valladolid |
15 | Jesús | DUQUE MACÍAS | IES Politècnic de Palma de Mallorca |
16 | Víctor | FERNÁNDEZ MARTÍNEZ | Universidad Complutense de Madrid |
17 | María Pilar | GARCÍA RODRÍGUEZ | Universidad Complutense de Madrid |
18 | Francisco | GIL MARTÍNEZ | Universidad de Sevilla |
19 | Ignacio | GUERRA PLASENCIA | RIES Jovellanos de Gijón |
20 | José | GUTIÉRREZ LÓPEZ | CIEMAT |
21 | Mª del Rosario | HERAS CELEMÍN | CIEMAT |
22 | Diego | HIDALGO SCHNUR | FRIDE |
23 | Carlos | LÓPEZ OTÍN | Universidad de Oviedo |
24 | Vicenta | LÓPEZ SOSA | IES Parque de Monfragüe de Plasencia |
25 | Carlos Javier | LUMBRERAS VICENTE | IES Aravalle de Barco de Ávila |
26 | Rafael | MARGALLO TORAL | IES Santa Clara de Santander |
27 | Luis Miguel | MARTÍN MARTÍN | Universidad de Córdoba |
28 | María Elena | PÉREZ GONZÁLEZ | Universidad Complutense de Madrid |
29 | Felipe | PIZARRO CALLES | IES El Brocense de Cáceres |
30 | Ángel | PUERTO MARTÍN | Universidad de Salamanca |
31 | Enrique | RICO HERNÁNDEZ | Universidad de Salamanca |
32 | Mercedes | RICO RODRÍGUEZ | IRNA (C.S.I.C.) |
33 | José Manuel | RIVERO MARTÍN | IES Universidad Laboral de Cáceres |
34 | Fco. Javier | RODRÍGUEZ MARTÍN | IES Virgen del Puerto de Plasencia |
35 | Juan | RUIZ BARRIONUEVO | INICE |
36 | Margarita | SALAS FALGUERAS | Centro Biología Molecular "Severo Ochoa" de Madrid |
37 | Ana María | TRINIDAD NÚÑEZ | IES Turgalium de Trujillo |
38 | José María | VEGA PIQUERES | Universidad de Sevilla |
39 | José Luis | VIEJO MONTESINOS | Universidad Autónoma de Madrid |
40 | Eduardo | WERUAGA PRIETO | Universidad de Salamanca |
Sean los anteriores listados una forma de agradecer a todos el habernos regalado su esfuerzo, su saber y su tiempo. Se lo agradecemos de corazón todos los que hemos llegado a tener cualquiera de los números de esta revista entre las manos.
Durantes estos últimos quince años, MERIDIES nos ha regalado mucho más
que unos artículos científicos, nos ha regalado ilusión, ánimos y ayuda para seguir en la difícil tarea de la docencia y del aprendizaje.
Otra manera de enseñar, otra manera de aprender.
Gracias por estos quince años de ilusión.
LOS INSECTOS COMO ALIMENTO HUMANO:
¿POR QUÉ NO COMER INSECTOS?
JOSÉ LUIS VIEJO MONTESINOS
Departamento de Biología. Universidad Autónoma de Madrid. c/ Darwin, 2, 28 049 Madrid. España. joseluis.viejo@uam.es
Palabras clave: Insectos comestibles, entomofagia, etnoentomología, nutrición humana.
Si bien en Europa los insectos no constituyen un recurso alimenticio para las personas, en otras regiones del mundo crece su interés e importancia como fuente de alimento para la población, lo que se añade a unas antiguas tradiciones que incluyen a los insectos en la gastronomía popular, en particular en Extremo Oriente (China y el Sudeste asiático) y en México. Los insectos son animales pequeños, ubicuos, extremadamente abundantes y fáciles de criar o recolectar, cuya biomasa se estima que es superior a la del resto de animales del planeta. Por tanto los insectos, utilizados como recurso alimenticio humano, son una “reserva estratégica” que eventualmente se puede emplear para mitigar el hambre en el mundo (DUFOUR, 1987). A su abundancia, se une la calidad nutritiva de esta biomasa, ya que el contenido en proteína de muchas especies de insectos es superior a la de los huevos de ave, el pescado, la carne vacuna o porcina, etc. (GENE, 1989). Cabe mencionar también que la composición de las proteínas de los insectos es muy favorable desde el punto de vista nutritivo, en lo que concierne al contenido de aminoácidos esenciales, según las recomendaciones de la FAO; así podemos reseñar que las pupas de Bombyx mori contienen más aminoácidos esenciales para el cuerpo humano que las semillas de soja, y que la digestibilidad de las proteínas de los insectos es superior al 90% (RAMOS- ELORDUY, 1991).
Los insectos son uno de los grupos animales que más tiempo llevan en el medio terrestre. Desde hace varios cientos de millones de años se han convertido en algunos de los organismos dominantes, en número de individuos, especies y biomasa, de los ecosistemas terrestres y dulceacuícolas del planeta. Igualmente
sabemos de su adaptación a multitud de cambios ocurridos en el planeta con o sin la intervención del hombre, y de su gran plasticidad ecológica, así como de la diversidad de vías que han utilizado para poder explotar los diferentes recursos y de su importancia en el equilibrio de la biosfera. Además han otorgado a los seres humanos múltiples beneficios (alimento, fibra, medicina, destrucción de desechos orgánicos, etc.), sin contar con su papel en la polinización de cosechas. A pesar de todo ello, los insectos no gozan de buena fama en algunas sociedades humanas, que se enfrentan a ellos con la idea principal de su destrucción, su abatimiento, o su desaparición (RAMOS-ELORDUY, 2003).
La Etnoentomología se ocupa de las interrelaciones de las culturas tradicionales con el mundo de los insectos (GABDIN, 1973), y puede definirse como "todas las formas de interacción entre los insectos y el hombre, especialmente sociedades humanas primitivas y no industrializadas" (HOGUE, 1987); en estas interacciones se incluyen la alimentación, la medicina, la historia, la antropología, la lingüística, la agricultura, la sociología, la teología, la taxonomía, la etología, la psicología, la mística y la artesanía, el arte literario, pictórico, escultórico, textil, cinematográfico, etc.
En numerosas ocasiones, los grupos étnicos muestran un sorprendente manejo y conocimiento de los recursos naturales, que con frecuencia forma parte de su entorno mágico (psicológico, místico, conceptual), lo que en definitiva constituye su cultura, su vida, sus mitos, ritos y leyendas, creencias, principios, valores, que a menudo desdeñamos y que formaron la base de la civilización actual y la sustentabilidad de los recursos (RAMOS-ELORDUY Y PINO, 1989).
Así pues, el estudio etnoentomológico si bien se ha dejado de lado por ser considerado conocimientos de “indios”, gente devaluada, menospreciada y explotada, olvidándose de que ellos sí han podido (cuando la aculturación no ha penetrado) lograr la sustentabilidad de sus recursos, preservar sus hábitos y costumbres y no imitar las que están de moda, y así continuar en lo profundo de su ser con las creencias y principios que los sostuvieron y constituyeron su sistema de ética y de vida. Por eso ahora nos abocamos al estudio etnoentomológico, logrando su rescate, manteniendo su integridad y valorando su importancia.
Esto también tiene que ver con la forma de explotación de la naturaleza en la que el ser humano está integrado, muy diferente de la visión occidental, en donde se ve separado de la misma y ésta se encuentra ahí para explotarla, y en donde las tecnologías indígenas no pueden competir con las occidentales que son altamente mecanizadas (MEJÍA, 1981; RAMOS- ELORDUY ET AL., 1981; RAMOS-ELORDUY,
1997). Esta actitud, llamémosle “occidental”, de relación con la naturaleza se refleja en la entomofagia, considerada repugnante o, cuando menos, propia de pueblos “poco civilizados”, trae consigo una gradual disminución del uso de los insectos como alimento humano, sin una alternativa real a la pérdida del recurso nutritivo (DEFOLIART, 1999).
Los insectos han jugado un papel trascendental tanto en las sociedades primitivas, como en las preindustriales e industriales por las funciones trascendentales que realizan. La entomofagia data de la época de Aristóteles y llega hasta nuestros días (RAMOS- ELORDUY, 1999). Existen numerosos trabajos sobre al consumo de insectos en el mundo, y que se refieren a numerosos países y épocas (para una información más detallada, consúltese RAMOS-ELORDUY Y VIEJO, 2007). Igualmente se mencionan casos de entomofagia en libros sagrados como la Biblia y el Corán.
El tipo de vida de la gente asentada en las áreas rurales de sociedades no industrializadas, generalmente con una economía natural o de subsistencia, unido a la imperiosa necesidad de buscar alimento para su supervivencia, incrementó su observación intuitiva y el análisis empírico que de la naturaleza hacían, lo que dio una continuidad a la explotación del recurso, haciéndolo sustentable, esto se ha probado en México para algunas especies (96, según RAMOS-ELORDUY Y PINO 1989) por al
menos 500 años (RAMOS-ELORDUY, 1997A). Forzosamente esto supone un buen conocimiento y manejo de ellas, haciendo una selección sobre aquellos recursos que fueren más abundantes y más fáciles de obtener. En este sentido, los insectos son tan abundantes que RATCLIFFE (1990) ha informado que uno de cada cuatro animales vivientes en el planeta es un escarabajo.
Es importante señalar que los insectos comestibles constituyeron también tributos para los emperadores aztecas, como por ejemplo los escamoles, el gusano de maguey, y también ciertas mariposas (DURÁN, 1867). Si el tótem no era ingerido, existía el peligro de que este insecto no existiera en número suficiente para ser utilizado subsecuentemente como fuente de alimento, tal es el caso de las "Witchey Grubs", de las "Honey pots", o sea la mariposa Bugong y las hormigas meleras (CAMPBELL, 1926; FLOOD, 1980; SPENCER
1914).
Existen numerosas referencias (92) con respecto al significado (RAMOS-ELORDUY, 2003A, B) y pragmatismo de algunos insectos comestibles. De las asociaciones hasta ahora reportadas, el 89% son positivas. Con ello vemos el valor que las antiguas culturas otorgaban a este grupo animal, en donde se consideraban algunos escarabajos, mariposas, chinches, abejas, avispas, abejorros, libélulas, chapulines, grillos, moscas, etc., como animales sagrados. Tan sólo en México, a nuestro entender existen cinco deidades; y estas alusiones son sin duda muy antiguas (BREUIL ET AL., 1912).
OBTENCIÓN, PRESERVACIÓN Y PREPARACIÓN DE LOS INSECTOS COMESTIBLES
Existen diversas formas de obtención de los insectos comestibles, que son mediante colecta manual o con instrumentos diversos (palas, barretas y /o picos, hachas, machetes y/o cuchillos, “garrochas” o sea palos muy largos y delgados, así como con redes, de diferentes tamaños, formas y material), todos ellos en general, instrumentos del quehacer cotidiano de los individuos que habitan las áreas rurales (RAMOS-ELORDUY Y CONCONI, 1993). En el norte de África, los Touareg, en lugar de redes para recolectar chapulines, utilizan una sábana larga, cogida por varios hombres que van avanzando, en los extremos hay un hombre que lleva una palangana de fierro a la cual le pega con una cosa metálica para hacer ruido, así los chapulines van brincando sobre ella y cuando ya hay suficientes, rápidamente la cierran para formar un saco donde quedan atrapados (BERGIER, 1941).
Igualmente cuando se trata de insectos con aguijón, para evitar los piquetes se aísla a los adultos mediante el uso de humo de leña verde a la entrada del nido y que éste penetre, lo cual hace que salgan huyendo. Para ello es necesario que se fijen dónde hacer la fogata con relación a la dirección e intensidad del viento (RAMOS-ELORDUY, 2003b). También se utilizan cebos para recolectar por ejemplo a los grillos.
Además existe una preservación de los insectos comestibles, que generalmente se hace por secado, al sol o en el comal (placa metálica), guardándose después en bolsas de papel estraza, en bolsas de malla de plástico o incluso en costales de tela o de plástico, para contar con alimento cuando éste escasea. También se preservan en salmuera.
La gran mayoría de los insectos se consumen asados en el comal, agregándoles sal y/o salsa de chile y poniéndolos en tortilla, haciéndose el taco. Muy pocas especies se comen vivos, como es el caso de algunas especies de jumiles o la hormiga melera (RAMOS-ELORDUY, 1997b).
Los insectos comestibles también constituyen parte de platos tradicionales mexicanos, como los tlacoyos rellenos de
gusano rojo, las quesadillas rellenas de gusanos de los palos o del gusano blanco de maguey o de los gusanos del nopal, los tamales rellenos de chicatanas, axayacatl o de padrecitos, los sopes condimentados con gusano blanco de maguey, coxas, chiquereis o gusano elotero, en cuyo caso de incorporan los insectos asados, fritos y/o guisados con yerbas de olor (RAMOS- ELORDUY, 2003A).
También se adicionan a diversos moles (escamoles, gusano de nopal, xamues), a salsas con o sin picante (botija, chicatanas, jumiles) o bien mezclados con cebolla, ajo, perejil y/o pápalo (Gusano blanco, escamoles, gusanos de los palos) y/o, revueltos con huevo (escamoles, chicatanas, abejas y avispas), en mixiote (gusano blanco y escamoles), o simplemente agregándolos en la sopa de arroz (xamues, jumiles) o en la sopa aguada (coxas, xochiquetzal). O bien únicamente se ofrecen como botanas para los invitados especiales que se desea halagar (chapulines, chicatanas, cuecla) (RAMOS-ELORDUY, 2003A).
Actualmente, muchas especies de insectos comestibles forman parte del menú de restaurantes de gran prestigio de la capital de México o de otras capitales del Mundo, constituyéndose así en platos de "gourmets" debido a su delicado y apreciado sabor y a su elevado costo. Estos se presentan formando parte de las entradas, o de entremeses, como pizzas, salsas, o bien en ensaladas, también en sopas aguadas o secas, o en guisos, incluso en postres (RAMOS-ELORDUY, 1998).
En Estados Unidos, para conmemorar el Centenario de la Sociedad Entomológica Americana se ofreció un banquete de guisos utilizando insectos, 100 diferentes platillos (DEFOLIART, 1992) y el Newsweek en octubre del 2002, anunció a un chef de Nueva York que realiza 550 diferentes recetas con grillos (KRAJICK, 1993). Además, en las tiendas se ofrecen paletas, dulces para niños, que llevan incluida una larva de insecto y un grillo, que la empresa americana Holtix elabora o en Londres, donde una compañía vende también paletas de la misma forma o palanquetas del gusano amarillo.
El consumo de los insectos comestibles supone desde un simple asado o incluso comerlos vivos, hasta un muy sofisticado guiso propio de verdaderos gourmets. Igualmente los insectos pueden servir de medicina y de hecho en China se han utilizado para este fin más de un centenar de especies (WEN & VIEJO, 2010), algunas de las cuales proporcionan la materia prima con las que preparar saludables infusiones, como es el caso del chogchá o te de insecto (WEN ET AL., 20XX).
BIODIVERSIDAD E INSECTOS COMESTIBLES
La biodiversidad se ha convertido en un asunto frecuente en programas políticos, medios de comunicación, cursos, conferencias y otros. De este tema se ha hablado sobremanera en diferentes reuniones internacionales: Río de Janeiro (1992), Johannesburgo (2002), etc. En ellas se han establecido acuerdos y se han identificado los principales problemas de carácter mundial: la globalización no ha dado los resultados esperados, los ecosistemas no se han preservado como se pensaba, los recursos se utilizan como si fueran inagotables, no existe un cuidado y menos una reglamentación en su uso de suerte que la depredación y deforestación continúan.
La famosa y buscada sostenibilidad no existe y sólo es mantenida por contadas etnias del planeta, 3/4 partes de la Tierra están superpobladas y muchas de sus tierras se están perdiendo por erosión.
Se calcula que para el año 2025 habrá
10.000 millones de habitantes en este mundo y que las luchas futuras serán entre los países que tengan agua y los que no la tengan, entonces, habría que preguntarse
¿qué significa biodiversidad? Para nosotros la biodiversidad está íntimamente ligada a la supervivencia del hombre en el planeta, por ello, tratar de preservarla no es cuestión de papeles o de acuerdos, sino de saber si podremos seguir viviendo en este mundo, y en este caso la etnobiología en general, y la etnoentomología en particular, tienen un papel crucial.
La depredación indiscriminada, la destrucción de los hábitats cada vez mayor,
junto a la disminución constante de la biodiversidad vegetal y animal, ha provocado que, para determinados habitantes de la tierra, sobre todo aquellos de la mayoría de las áreas rurales del mundo, cuenten cada vez con menos fuentes de obtención de proteína animal, provista por animales de talla significativa y son ellos los que más han recurrido y recurren actualmente a los insectos para su alimentación. Además existen factores diversos que han erosionado su germoplasma (tala de bosques, más contaminación, más aspersión de sustancias biocidas, cambios de clima en el planeta, falta de ética y actitudes responsables ante la explotación de un recurso, falta de un interés por conocer el rico saber tradicional, los suelos agrícolas han sido afectados por las máquinas, que penetran más allá de la dimensión requerida en la tierra, lo que no hacía el arado usado por siglos, así como por la acción de los compuestos contenidos en herbicidas, insecticidas, fertilizantes, etc. que afectan el buen funcionamiento del suelo) (RAMOS-ELORDUY, 2003B).
Hay que establecer NUEVOS PARADIGMAS BIOECOLÓGICOS, ya
que los recursos naturales tienen actualmente un enorme valor estratégico, económico, cultural y social en todo el mundo y constituyen la clave de la subsistencia humana. También es preciso modificar la forma de intercambio de recursos y de los productos no por dinero que en su mayor parte es virtual, sino por algo más provechoso para países subdesarrollados. Es por tanto urgente la preservación de esta faceta de la biodiversidad que es el germoplasma.
Los insectos son un grupo animal cuya biodiversidad total es enorme, pero su alcance se desconoce. Algunos autores, como WILSON (1985), aseveran que existen 751,000 especies, mientras que MITTENMEYER (1988) postula que existen de 300 a 400 millones de especies de insectos, sin embargo, en cuanto a insectos comestibles se refiere el número censado hasta la fecha se constituye de 505 especies para México, las cuales han sido rastreadas mediante estudios de campo, entre diversas etnias del país, de éstas el 83% pertenecen a insectos del ámbito terrestre y sólo el 17% a
ecosistemas acuáticos continentales. Asimismo, el 55,79% de ellas se consumen en estado inmaduro (huevos, larvas, pupas, ninfas), y el 44,21% en estado adulto, siendo algunas especies consumidas en todos los estados de desarrollo (RAMOS- ELORDUY Y VIEJO, 2007). El número total
cerdo o la carne de vacuno, con cantidades de proteína entre el 68,99 y el 75% del peso seco (tablas 1, 4 y 6).
Tabla 1.- Test de significación (SSR- Duncan) de la diferencia del contenido de proteína en diferentes
especies de insectos. Tomado de WEN & AL., 2008
de especies registrado en el mundo hoy en
día es de 1681 comprendidos en 14 órdenes de la clase Insecta (RAMOS-ELORDUY, 1997A). De las especies censadas, el mayor número corresponde de nuevo al orden Coleoptera con 468 especies, seguido de Hymenoptera (351), Orthoptera (267),
Lepidoptera (253), Hemiptera (102),
Homoptera (78), Isoptera (61), Diptera (34),
Odonata (29), Ephemeroptera (19),
Ordenes de
Nº de
PROTEÍNA
Insectos especies | peso seco) | α=0.05 | α=0.01 | |
Orthoptera | 18 | 65.96±7.84 | a | A |
Diptera | 7 | 55.86±9.16 | b | B |
Homoptera | 7 | 51.31±13.48 | c | B |
Hymenoptera | 30 | 50.88±9.50 | c | B |
Hemiptera | 14 | 49.57±12.85 | c | BC |
Lepidoptera | 31 | 48.47±13.79 | c | BC |
Coleoptera | 26 | 44.03±13.66 | d | C |
(g/100g
Significación de la diferencia
Trichoptera (10), Megaloptera (5),
Anoplura (3) y Thysanura (1) (RAMOS- ELORDUY Y CONCONI, 1994, RAMOS- ELORDUY, 2003B).
Consideramos que esta cifra no representa ni de lejos la realidad, ya que son
MEDIA 52.30±6.99
![]()
Tabla 2.- Test de significación (SSR- Duncan) de la diferencia del contenido de grasa en diferentes especies de insectos. Tomado de WEN & AL., 2008
muy escasos los estudios respecto a la
verdadera cantidad que de insectos comestibles se consume en el mundo.
s peso seco) | α=0.05 | α=0.01 | ||
Coleoptera | 26 | 31.81±13.17 | a | A |
Lepidoptera | 29 | 30.57±18.60 | ab | A |
Hemiptera | 14 | 28.00±18.23 | ab | A |
Homoptera | 6 | 25.33±7.92 | b | A |
Hymenoptera | 28 | 24.41±11.12 | b | A |
Diptera | 7 | 15.64±10.53 | c | B |
Orthoptera | 18 | 9.02±2.86 | d | B |
MEDIA | 23.54±8.32 | |||
Ordenes de Insectos
Nº de especie
GRASA
(g/100g
Significación de
la diferencia
CUALIDADES NUTRITIVAS DE LOS INSECTOS
En los últimos años, los insectos han ido adquiriendo un creciente valor como nuevo recurso alimenticio para los seres humanos. Si bien son animales pequeños, los insectos están ampliamente extendidos, constituyen el grupo zoológico más diverso y representan la mayor cantidad de biomasa animal del planeta. La utilización de los insectos como recurso alimenticio para los seres humanos presenta numerosas
Tabla 3.- Test de significación (SSR- Duncan) de la diferencia del contenido de proteína + grasaqgrasa en diferentes especies de insectos. Tomado de WEN
![]()
& AL., 2008
ventajas, entre las que podemos mencionar
GRASA +
Significación de
la corta duración de las generaciones, por tanto la rápida cría, la enorme capacidad de
Ordenes de
Insectos
Nº de
especies
PROTEÍNA la diferencia
(g/100g α=0.05 α=0.01
peso seco)
reproducción y su abundancia en diferentes hábitats.
Si tenemos en cuenta la cada vez mayor demanda de alimentos, es obligado considerar a los insectos como una potencial y prometedora fuente futura de alimento para los seres humanos (DUFOUR, 1987). Insectos como grillos, cigarras, mariposas, hormigas y larvas de dípteros contienen más proteínas que los huevos de las aves, la carne de pollo, el pescado, el
![]()
Lepidoptera 29 77.91±10.95 a A
Hemiptera 14 77.57±8.49 a A
Homoptera 6 76.59±10.33 a A
Coleoptera 26 75.84±9.61 a A
Hymenoptera 28 75.52±7.78 a A
Orthoptera 18 74.98±8.20 a A
Diptera 7 71.49±6.10 a A
MEDIA 75.70±2.14 a A
En relación con los aminoácidos de las proteínas, los insectos ofrecen también muchas ventajas, ya que en términos
generales poseen las tasas más adecuadas, según las recomendaciones de la FAO (tabla 5). Por ejemplo, las crisálidas de Bombyx mori contienen más aminoácidos esenciales para los seres humanos que la soja. La tasa de digestibilidad de las proteínas de los insectos está alrededor del 90%, y varía entre el 77,9% y el 98,9%
(RAMOS ELORDUY, 1991).
Tabla 4.- Porcentaje de proteínas de insectos comestibles de México. Tomado de RAMOS ELORDUY & VIEJO, 2007
ÓRDENES | Porcentaje | Productos convencio nales | Porcentaje |
TERRESTRES | |||
Orthoptera | 52 - 77 | ||
Hemiptera | 36 - 71 | Soya | 44 |
Homoptera | 33 - 72 | Pollo | 43 |
Coleoptera | 30 - 69 | Huevo | 46 |
Lepidoptera 3 | 4 - 71 | Res | 54 |
Diptera | 35 - 61 | Frijol | 23 |
Hymenoptera | 10 - 81 | Lenteja | 27 |
Isoptera | 37 - 48 | ||
ACUÁTICOS | |||
Ephemeroptera | 53 - 64 | ||
Odonata | 52 - 57 | Pescado | 81 |
Megaloptera | 55 - 63 | ||
Trichoptera | 61 - 72 |
ÓRDENES | Cantidad | Productos convencionales | Cantidad |
Orthoptera | 38 - 51 | Vegetales | |
Hemiptera | 48 - 66 | Frijol | 8,30 |
Homoptera | 42 - 48,5 | Lenteja | 13,20 |
Lepidoptera | 44 - 49 | Soya | 22,40 |
Coleoptera | 30 - 57 | Animales | |
Diptera | 43 - 56,6 | Huevo | 51,50 |
Hymenoptera (Apidae) | 42 - 49 | Res | 46,80 |
Hymenoptera (Vespidae) | 42 - 50 | Pollo | 42,70 |
Hymenoptera (Formicidae) | 42,3 - 53 | Pescado | 40,10 |
Tabla 5.- Contenido total de aminoácidos esenciales (g/100 g de proteína) que albergan diferentes órdenes de insectos comestibles comparado con productos convencionales. Tomado de RAMOS ELORDUY & VIEJO, 2007
constituida por más ácidos grasos insaturados que en otras especies animales (tabla 2; RAMOS ELORDUY & al., 1992; YANG DARONG, 1996; YE XINGQIAN,
1998a, 1998b; etc.). Estas cifras son similares a las del aceite de cacahuete y al de soja, pero el tejido graso de los insectos tiene mayor contenido de vitaminas que el de otros animales.
Tabla 6.- Contenido energético de diversos órdenes de insectos comestibles comparado con productos convencionales. Tomado de RAMOS ELORDUY & VIEJO, 2007
ÓRDENES | kj | Productos convencionales | kj |
Odonata | 1804,48 – 2174,68 | Vegetales | |
Ephemeroptera | 1480,30 – 1486,99 | Verduras | 1506,24 |
Orthoptera | 1407,37 – 1831,30 | Leguminosas | |
Isoptera | 1451,85 – 2125,47 | Haba | 1624,23 |
Hemiptera | 1376,49 – 2631,78 | Frijol | 1637,40 |
Homoptera | 1649,08 – 1964,35 | Lenteja | 1644,40 |
Megaloptera | 1387,80 – 1533,23 | Chícharo | 1673,18 |
Lepidoptera | 1227,71 – 3250,34 | Garbanzo | 1763,94 |
Coleoptera | 1182,98 – 2732,24 | Soya | 1944,74 |
Diptera | 907,68 - 2086,14 | Cereales | |
Hymenoptera | 1590,17 – 2348,77 | Centeno | 1397,46 |
Trigo | 1397,46 | ||
Arroz | 1510.42 | ||
Avena | 1522,98 | ||
Maíz | 1548.08 | ||
Animales | |||
Pollo | 688,69 | ||
Pescado | 1662,30 | ||
Res | 1735,94 | ||
Puerco | 2948,46 |
Tabla 7.- Proporción de ácidos grasos saturados e insaturados de diversos animales (porcentaje). Tomado de RAMOS ELORDUY & VIEJO, 2007
Organismo | Ácidos grasos saturados | A. grasos mono- insaturados | A. grasos poli- insaturados |
Res | 52,0 (28,1) | 44,2 | 3,2 |
Puerco | 44,1 (24,3) | 44,3 | 11,6 |
Pollo | 35,5 (20,2) | 40,8 | 22,7 |
Pescado | 29,6 (22,6) | 39,6 | 30,8 |
Insectos | 11,0-43,4 (0,1-9,1) | 55,9 | 40-45 a 100 |
Los insectos también contienen una considerable cantidad de grasa, que oscila entre el 10% y el 40%, y en algunas larvas de coleóptero alcanza el 50% de su peso seco; además en todos los casos está
80
60
40
20
10 20 30 40 50 60 70 80 90
Figura 1.- Correlación entre el contenido de grasa y de proteína en el cuerpo de los insectos comestibles. Tomado de WEN & AL., 2008
Figura 2.- Comparación entre el cotenido de grasa, proteína y la suma de ambos en diferentes órdenes de insectos comestibles. Tomado de WEN & AL., 2008

Se han realizado numerosos estudios sobre el contenido de proteína y de grasa de los insectos, sin embargo, la mayor parte de los análisis se han limitado a especies concretas, y hasta el momento pocas son las evaluaciones realizadas en relación con amplios grupos taxonómicos.

Los insectos presentan una alta proporción de proteína, si bien los datos muestran una considerable variación entre diferentes órdenes (tablas 1 y 3). En general los insectos tienen un contenido en proteína mayor que el de grasa; por término medio, se encuentra el doble de proteína que de grasa, aunque la proteína puede llegar a ser alrededor de siete veces más. Los insectos que contienen la mayor cantidad de proteína pertenecen al orden Orthoptera (65,96%), por el contrario son los Coleoptera los que contienen menos (44,03%); en relación al contenido en grasa, sucede lo contrario, ya que los más ricos en grasa son los coleópteros (31,81%) y los que menos grasa tienen son los ortópteros (9,02%). También se encontró una relación entre el contenido en proteína y el contenido en grasa, de manera que la suma de ambos permanece casi constante (76%±2,14%) en los diferentes grupos de insectos analizados. Por tanto la cantidad total de proteína y grasa supone aproximadamente ¾ del peso seco del insecto; es decir, la mitad del peso seco de un insecto es proteína, un cuarto es grasa y el resto otras sustancias. La cantidad de grasa y de proteína muestra una correlación negativa (figuras 1 y 2).
BERGIER, E., 1941. Insectes comestibles et peuples entomophages. Edit. Rullière F. 209 pág. BREUIL, H., GOMEZ, P.S. & AGUILO, J.G., 1912. Les peintures ruprestres d’Espagne. Les abris del
Bosque de Alpera (Albacete), Ed. L’Antropologie, Paris, 23, p. 529.
CAMPBELL, T.G., 1926. Insect Foods of the aborigines. Australian Museum Magazine. págs. 407- 410.
DEFOLIART, G.R., 1989. The use of insects as food and as animal feed. Bulletin of Entomological Society of America. 22-35.
DEFOLIART, G.R., 1991. Insect fatty acids: Similar to those of poultry and fish in their degree of unsaturation, but higher in the polyunsuturates. The Food Insects Newsletter, IV (1): 1-4.
DEFOLIART, G.R., 1992. The New York Bug Banquet. Aday to remember The Food Insects Newsletter, V (2): 1-7.
DEFOLIART, G.R., 1997. Importance of edible insects in the nutrition and economy of people of the rural areas of Mexico. Ecology of Food and Nutrition, 36 (1): 347-366.
DEFOLIART, G.R., 1999. Insects as food: Why the Western attitude is important. Annual Review of Entomology, 44: 21-50.
DUFOUR, D., 1987. Insects as food. A case study from the northwest Amazon. American Anthropologist. 89: 383-397.
DURÁN, D., 1867. Historia de las Indias de Nueva-España y islas de Tierra Firme. Tomo I. Publicada con atlas, estampas, notas e ilustraciones. Ed. José F. Ramírez. Versión de 1867 de
J.M. Andrade y F. Escalante.
FLOOD, J., 1980. The moth hunters: aboriginal prehistory of the Australian alps Canberra, Australian Institute of Aboriginal Studies New Series No. 14.
GABDIN, C., 1973. L’Ethnoentomologie. OPIE Cahiers de Liaison No. 7: 15-17.
GENE, R.D., 1989. The human use of insects as food and as animal feed. Bull ESA. 3: 22. HOGUE, C.H., 1987. Cultural Entomology. Annual Review of Entomology, 32: 181-199. KRAJICK, K. 1993. A Swarm of Tasty Treats. Newsweek, Agosto 23, págs. 54-55.
MEJÍA, G.M., 1981. Algunos “animales” inferiores utilizados como alimento en la Amazonia y en la Orinoquia Colombiana, Publi. Univ. Nnal. Palmira, Mecanografiado, 18 págs.
MITTENMEIER, R. E. 1988. Several working papers for the Biodiversity Task Force of the World Bank. The World Bank, Washington, D.C.
RAMOS ELORDUY, J., 1991. Los insectos como fuente de proteínas en el futuro. Ed. Limusa. México, 1a.144p. 2ª. Reimp. 148p
RAMOS-ELORDUY, J., 1997. Insects: A sustainable source of food. Ecology of Food and Nutrition, 36
(2-4): 247-276.
RAMOS-ELORDUY, J., 1998. Creepy crawly cuisine. Inner Traditions Internal. 149 págs.
RAMOS-ELORDUY, 1999. El consumo de insectos como un hábito ancestral. In: Chalchihuite.
Homenaje a Doris Heyden. Ed. INAH, México. págs. 275-305.
RAMOS-ELORDUY, J., 2003. Les “jumiles” punaises sacrée du Mexique. In: Les insectes dans la tradition orale – insects in oral literature and traditions. ÉLISABETH MOTTE-FLORAC & JACQUELINE M. C. THOMAS Eds. Paris, Peeters-Selaf (Ethnosciences 5): 183-208.
RAMOS-ELORDUY, J. & CONCONI, M., 1993. Resemblance of the techniques for exploit some edible insect species in different ethnic groups all over the world. II Int. Cong. Ethnobiol. Abstracts págs. 141.
RAMOS-ELORDUY, J., PINO, J. & GONZÁLEZ, O. 1981 Digestibilidad in vitro de algunos insectos comestibles de México. Folia Entomológica Mexicana, 49: 141-154.
RAMOS ELORDUY, J., R.A. FLORES, C.E. SANDOVAL, M. J. M. PINO & R. H. BOURGES, 1992.
Composición Química de Insectos Comestibles de la Delegación Milpa Alta, D. F., Tecnol. Aliment. (Méx.) 27(4-6).
RAMOS-ELORDUY, J. & PINO J., 1989. Los insectos comestibles entre las antiguas culturas de México. Ed. AGT 139 pág.
RAMOS-ELORDUY & J.L. VIEJO, 2007. Los insectos como alimento humano: Breve ensayo sobre la entomofagia, con especial referencia a México. Bol. R. Soc. Esp. Hist. Nat. Sec. Biol., 102 (1-4), 2007, 61-84.
RATCLIFFE, B.C. 1990. The significance of scarab beetle in the ethnoentomology of non industrial indigenous people. Ethnobiology implications and applications, I: 159-185.
SPENCER, B., 1914. Native trades of the Northern Territory of Australia, London.
WEN LIZHANG, J.L. VIEJO MONTESINOS & YI DINGHONG, 2008. Los insectos como fuente de alimento: Análisis del contenido en proteína y grasa de 100 especies. Bol. Mus. Mun. Funchal, Sup. Nº 14: 55-70.
WEN LIZHANG, J.L. VIEJO MONTESINOS, CANG, XUE-BING & SHEN, ZUO-RUI, 2006. Evaluación
toxicológica del excremento de la oruga de Aglossa dimidiata (Haworth, 1809) (Insecta, Lepidoptera, Pyralidae) como bebida tradicional y medicinal en China. Bol. R. Soc. Esp. Hist. Nat. (Sec. Biol.) 101: 87-91.
WILSON, E.O., 1985. The Biological diversity crisis: A challenge to science. Issues of Scientific Technology, 2: 20-29.
YANG DARONG, SHU CHANG & LI CHAODA, 1996. Analysis of Nutrition Components in Five Species of Insects. Acta Nutrimenta Sinica, 18 (2): 231-234.
YE XINGQIAN & HU CUI, WANG XIANG: 1998. Analysis of Nutritional Component of Six Species of Insects of Lepidopteron. Acta Nutrimenta Sinica, 20 (2): 224-228.
YE XINGQIAN, HU CUI & WANG XIANG, 1998. Chemical evaluation of the nutritive value of 7 species of coleopteran larva. Journal of Zhejiang Agricultural University, 24 (1): 101-106.
SOSTENIBILIDAD DE LA BIODIVERSIDAD AGRÍCOLA Y FORESTAL
L. M. MARTÍN y M. A. MARTÍN.
Departamento de Genética. ETSI Agronómica y de Montes. Universidad de Córdoba. lm.martin@uco.es
La vida abarca a un elevado número de especies que se relacionan en complejos sistemas ecológicos. Estos sistemas evolucionan según procesos de muy diferente ritmo y, en ocasiones, se puede llegar a situaciones dramáticas. Una de las características de la época actual es la percepción de que la relación entre la sociedad humana y el resto del ecosistema está en crisis, siendo la alarma ante el cambio climático una de sus más claras expresiones.
La humanidad recibe del resto del ecosistema toda una serie de productos y servicios. A lo largo de la vida del planeta la especie humana ha ido evolucionando y, a su vez, ha hecho evolucionar al resto del ecosistema para obtener estos productos y servicios. En este momento parece clave reflexionar sobre el sentido de esta evolución y sobre la sostenibilidad del sistema.
Analizando el proceso evolutivo cabe señalar que el ser humano se separó del resto del ecosistema hace unos dos millones de años, cuando el antepasado que ha dado lugar a nuestra especie emerge de los simios primitivos. Hace unos cien mil años este proceso condujo a la aparición de la especie Homo sapiens sapiens. Durante la mayor parte de estos últimos cien mil años la especie humana ha gestionado el medio que le rodea como cazador-recolector. Aunque esta gestión puede llegar a ser muy inteligente y sofisticada, sus hábitos de vida fueron muy similares a los de otras especies. Durante ese tiempo la especie se expande por todo el planeta, pero apenas llega a los diez millones de personas, lo que supone un crecimiento demográfico medio de cien habitantes por año.
Hace unos diez mil años se comienza a practicar la agricultura y la ganadería en unos pocos lugares situados en Asia, Oriente Medio y América. Aún se discute la razón que llevó a estas prácticas, pero en lo
que sí hay consenso es que las mismas suponen para la humanidad una nueva forma de relacionarse con la naturaleza. Así, se hace sedentaria, dando lugar, progresivamente a la aparición del pueblo, la ciudad y el imperio. La sociedad se estructura, con el nacimiento de los sectores productivos primario (explotación de recursos naturales) secundario (artesanos – industria) y terciario (servicios). Pero, sobre todo, la nueva forma de vida es expansiva. La agricultura se expande y la población aumenta a un ritmo cada vez mayor: desde el origen de la agricultura hasta la revolución industrial, a finales del siglo XIX, la población aumenta hasta más de mil millones, lo que supone un crecimiento medio de cien mil personas por año, esto es, que el crecimiento demográfico en la era agrícola pre-científica es mil veces superior al de la época cazadora- recolectora. Desde la revolución industrial hasta el presente, en 120 años, la población pasa de mil a seis mil millones. El incremento medio ha sido de cuarenta millones por año, los que significa un crecimiento demográfico anual cuatrocientas veces mayor que en la época agrícola y cuatrocientas mil veces más que en la época cazadora-recolectora.
La explicación del crecimiento demográfico en la época agraria radica en su naturaleza expansiva y en que produce un cambio drástico de fauna y flora. Si se analiza la lista de los trescientos cultivos más importantes del mundo, sólo están representadas 55 de las 300 familias de fanerógamas. Además, una gran parte de esos cultivos pertenecen a un número muy reducido de familias: así, por ejemplo, 40 de esas especies cultivadas son leguminosas y 29 gramíneas.
Así pues, sólo una parte de la flora ha entrado a formar parte de la superficie agraria, que ha llegado a ocupar la mitad más productiva de la tierra. Pero es que, además, la naturaleza de esta flora sufre una profunda modificación como consecuencia
del cambio en la selección que actúa sobre ella. Ahora, a la selección natural, se superponen la selección artificial, efectuada por agricultores y técnicos, y la selección automática, la que se produce de forma natural, pero como consecuencia del hecho de que el ser humano, al cultivar las plantas, controla su reproducción. Se modifican los caracteres adaptativos, y el cambio selectivo propicia el incremento del tamaño de la semilla, la homogenización de la maduración, el cambio del sistema de fructificación y la arquitectura de las plantas … Estos cambios han llegado ha ser tan grandes que los primeros botánicos erraron en sus clasificaciones. Así, maíz silvestre y cultivado fueron clasificados como especies pertenecientes a géneros distintos: Euchlaena mexicana y Zea mays, respectivamente, cuando se ha podido comprobar que continúan perteneciendo a la misma especie biológica, ya que son perfectamente interfecundos. Actualmente se consideran a ambos taxones como dos subespecies de Zea mays: Z. mays mexicana y Z. mays mays.
Además de los cambios morfológicos, la agricultura ha hecho que las especies cultivadas se hayan expandido, adaptándose a muy diversas condiciones edafoclimáticas. Sirva como ejemplo la dispersión en el Viejo Mundo de especies americanas como maíz, patata, tomate o judía, o la dispersión al Nuevo Mundo del trigo, arroz, cebada o soja.
La agricultura también ha dado lugar a cambios en plantas que, sin ser cultivadas, se han adaptado a los ambientes alterados por el hombre como las malas hierbas o las especies adaptadas a sistemas ganaderos. También ha sido un corto número de especies las que mejor se han adaptado a estos nuevos nichos ecológicos, incrementando explosivamente su demografía y, además, cambiando genéticamente para cumplir mejor estas nuevas funciones.
Así pues, los diez mil años de agricultura han producido un profundo cambio en la flora. No obstante, lo paulatino de estos cambios hasta periodos relativamente recientes, ha permitido que la situación sea percibida como de un nuevo equilibrio. En relación a la diversidad
genética, cabe señalar que se ha producido una pérdida muy importante de flora silvestre, con la extinción de un gran número de especies, y la reducción de las áreas de distribución de otras muchas. Todo esto se ha traducido en una reducción de sus recursos genéticos, esto es, de su capacidad para poder adaptarse a los nuevos cambios. Sin embargo, en las especies domésticas, y en las oportunistas que han sido capaces de adaptarse a la nueva situación, se han producido crecimientos demográficos explosivos e irradiaciones adaptativas que les han hecho enriquecerse genéticamente. Así pues, a nivel de especies, muchos pierden y, aunque menos, también muchos ganan. Sin embargo, en las últimas etapas de la vida han aparecido dinámicas más peligrosas para la sostenibilidad.
La Revolución Industrial, en la última parte del siglo XIX introdujo un aspecto particularmente relevante: un salto cualitativo en las disponibilidades de energía y en el desarrollo de otras tecnologías que ha llevado a la humanidad a cotas de poder sobre el resto del ecosistema inimaginables en épocas anteriores. Como vamos a analizar, este poder ha permitido altos niveles de crecimiento económico, siendo el logro más espectacular el estado de bienestar en los países más avanzados, pero también ha llevado a una crisis en el ecosistema global.
Un aspecto particularmente relevante para la alimentación y el medio ambiente es la producción masiva de abonos nitrogenados.
El fundamento de la agricultura es la puesta en marcha de un sistema productivo en el que la planta fija carbono a través de la fotosíntesis de su parte aérea, se nutre de elementos minerales disueltos en el agua que toma a través de sus raíces y aporta alimento y otros bienes al ser humano. Por otra parte, éste se ocupa de su reproducción, protección y mejora, consistiendo esto último en que la planta se ajuste cada vez más al uso al que él lo destina, y no a sobrevivir independientemente, como hace la flora silvestre.
El elemento mineral que la planta necesita absorber en mayor proporción es el
nitrógeno, por lo que este elemento ha constituido el principal factor limitante de la producción agraria a lo largo de la historia. Por esta razón, los agricultores se las han ingeniado para conseguir aportar nitrógeno a sus cultivos de diversas formas, llegando, en la transición de los siglos XIX y XX a montar sistemas mundiales de aprovisionamiento como fue la industria del nitrato de Chile.
En 1989 Carl Bosh descubre la síntesis del amoniaco a partir de nitrógeno e hidrógeno atmoféricos. Este avance supuso disponer de una fuente ilimitada de nitrógeno, aunque para que esto llegase a ser una posibilidad real hizo falta un largo desarrollo tecnológico, que indudablemente fue facilitado por la relación de la industria del nitrógeno con la de los explosivos, en un periodo tan bélico como fue la primera mitad del siglo XX. En 1913 empieza a funcionar la primera fábrica de amonio comercial. Finalizada la segunda guerra mundial, la industria del abono nitrogenado sintético se extiende rápidamente; en 1960 la producción mundial de nitrógeno alcanza los diez millones de toneladas, el 90 % de la cuál se empleaba en los países ricos. En la actualidad, la producción de nitrógeno alcanza los 90 millones de toneladas, y el 70 % de la producción se consume en la agricultura de los países en desarrollo. Durante esos sesenta años la población humana se ha duplicado, esto es, ha crecido tanto como en los cien mil años anteriores. Obviamente este crecimiento ha sido posible por el uso de este nitrógeno. Además, la disponibilidad de alimentos es ahora la mejor de toda la historia. Si bien el problema del hambre y de la malnutrición no se ha resuelto, la razón no es de producción insuficiente, sino de equidad y de reparto. De hecho, el problema de la alimentación quedaría resuelto si los deficientemente nutridos consumiesen los alimentos que producen la obesidad de los obesos.
Pero el nuevo modelo agrícola, definido como Revolución Verde, ha sido posible porque también se han producido otros cambios en la tecnología agrícola, siendo el más relevante el desarrollo, por mejora genética, de nuevas variedades de plantas adaptadas a la agricultura basada en alta
disponibilidad de nitrógeno y, en general, en un elevado nivel tecnológico. El punto crítico es que ese desarrollo de mejora genética ha provocado un estrechamiento de la base genética de la flora agrícola en un doble sentido: la nueva agricultura se basa en menos especies cultivadas y en una menor diversidad genética de cada una de estas especies.
La disminución en el número de especies importantes ha llegado a tal extremo de que más de la mitad de todos los nutrientes de origen vegetal que consume la especie humana y los animales domésticos monogástricos proceden de sólo tres especies cultivadas: trigo, maíz y arroz.
La reducción en la diversidad genética de las especies cultivadas quedó patente a raíz de una epidemia de Helminthosporium maydi que se presentó en los años sesenta en los maíces híbridos de los Estados Unidos. Cuando se analizó la causa del problema se supo que el desarrollo de los maíces híbridos, que se había basado en la tecnología de la androesterilidad génico- citoplásmica, había tenido como consecuencia que todas las plantas de maíz híbridos cultivadas en el país compartían el mismo citoplasma, y que un factor genético de ese citoplasma era el causante de la susceptibilidad a la enfermedad. Así pues, en lo que respecta a los factores genéticos que van en los orgánulos celulares (mitocondrias o cloroplastos), los millones y millones de plantas de maíz cultivadas en los Estados Unidos tenían un solo genotipo. Todas las demás variantes habían desaparecido de los campos de cultivo. El problema se resolvió localizando variantes del factor genético que diesen lugar a una reacción de resistencia a la enfermedad, y desarrollando nuevas variedades que no sufrían la enfermedad.
Los estudios efectuados a raíz de este hecho en las principales especies cultivadas pusieron de manifiesto que, efectivamente, la nueva agricultura había producido un estrechamiento de la base genética de todas ellas, y que si no se establecía algún sistema de conservación, la diversidad genética de los cultivos, conseguida en los diez mil años de agricultura, simplemente desaparecería. Esta desaparición supondría la pérdida de la capacidad de adaptación a
los cambios que pudiesen sobrevenir y, por lo tanto, la insostenibilidad del sistema.
Se define la sostenibilidad como un sistema de obtención continuada y equilibrada de productos sin comprometer la capacidad de satisfacer las necesidades de las generaciones futuras. Resulta obvio que un requisito de la sostenibilidad agraria es el establecimiento de un sistema que asegure la salvaguarda de los recursos genéticos.
En un principio, el problema se trató de resolver deforma técnica y sin cuestionar el sistema agrícola, mediante el impulso de los bancos de germoplasma. Los bancos de germoplasma son instituciones donde se trata de conservar toda la diversidad agrícola posible para poder disponer de ella en los programas de desarrollo de nuevas variedades que permitan resolver los problemas que se vayan presentando y, en todo caso, hacer que la agricultura sea cada vez más eficiente. La conservación en bancos de germoplasma se efectúa, fundamentalmente, manteniendo el mayor número de variantes posibles, denominadas accesiones, en forma de semillas, bajo el principio de que a temperatura y humedad bajas, el poder germinativo se mantiene en muy largo período de tiempo. Este tipo de conservación presenta, no obstante, limitaciones de tipo técnico, económico, político y conceptual.
Las semillas que se adaptan a este tipo de conservación se denominan ortodoxas, pero existen también semillas recalcitrantes que no pueden ser mantenidas en estas condiciones. Otros problemas técnicos no totalmente resueltos son las dificultades que presenta la conservación de las variedades de plantas reproducidas vegetativamente, la necesidad de renovar la semilla, para que el banco pueda seguir cumpliendo sus funciones a largo plazo, o el de controlar que el material conservado en los bancos no se vaya deteriorando. Existen sistemas que permiten resolver estos problemas: mantenimiento de colecciones vivas, crioconservación ..., pero ya con un costo unitario bastante mayor.
Más complejos de resolver son, no obstante, las otras dimensiones del problema. Pronto se fue consciente de que,
mientras la mayor parte de la diversidad genética de los cultivos se encuentra en los países en desarrollo, los principales bancos de germoplasma se establecen en los países desarrollados, y que la obtención de nuevas variedades de plantas está cada vez más en manos de empresas multinacionales. El agricultor, que en los sistemas tradicionales, además de usuario, había sido el obtentor de su material, pasa a ser sólo usuario de materiales obtenidos por estas empresas, que para financiar sus inversiones recurren a defender los derechos sobre sus obtenciones por diversos sistemas jurídicos como patentes o derechos de obtentor. El control y la propiedad de los recursos genéticos estaría pasando de manos de los pobres a manos de los ricos. Por otra parte, el proceso evolutivo que ha supuesto la agricultura tradicional quedaría congelado. A partir de ahora la evolución de los cultivos pasaría de los campos de cultivo a laboratorios y campos experimentales.
Obviamente esta situación debe ser superada. Los científicos expertos en la materia proponen que la conservación efectuada en los bancos, o conservación ex situ, debe complementarse con conservación llevada acabo allí donde los recursos genéticos son utilizados, conservación in situ. Por su parte, las instituciones nacionales e internacionales como Las Naciones Unidad o FAO han propiciado la existencia de tratados que eviten el expolio que supondría la situación anteriormente descrita.
En el ámbito internacional es de destacar el Tratado Internacional sobre los Recursos Fitogenéticos para la Alimentación y la Agricultura. Este Tratado fue aprobado en 2001 y desde entonces ha sido ratificado por más de 120 países y entrado en vigor. Establece medidas para favorecer la conservación ex situ e in situ de los recursos fitogenéticos y para preservar los derechos de los agricultores. Es de destacar el importante papel que en su desarrollo y ratificación ha tenido el funcionario español, Dr. José Esquinas Alcázar, durante mucho tiempo Secretario del Tratado, y al que ha dedicado una gran parte de su vida profesional. En España, además de la existencia del Centro Nacional de Recursos Fitogenéticos y otros bancos, es de destacar
la Estrategia Nacional para la Conservación y Utilización Sostenible de los Recursos Genéticos Forestales, presentada en 2006.
Aunque lo deseable desde el punto de vista de la conservación sería que cada sistema productivo fuese sostenible en sí, es decir, que constituyese un sistema de conservación in situ, esto no es compatible con la demanda de productos agrícolas y forestales de una sociedad de seis mil millones de personas, por lo que el objetivo de sostenibilidad debe ser global: esto es, deben coexistir sistemas que pongan el énfasis en la eficiencia productiva, otros que lo hagan en la conservación de recursos, y todo tipo de situaciones intermedias. Esto, unido a bancos de germoplasma regidos con eficiencia técnica y equidad social es la fórmula para aspirar a la sostenibilidad.
Un problema añadido en estas cuestiones es la falta de conocimiento riguroso sobre la situación real de la biodiversidad agrícola y forestal: no se dispone de información sobre la evolución que se ha producido y se está produciendo en la diversidad genética de estas especies. Para ello, junto a los inventarios más o menos burocráticos que se están impulsando desde los distintos tipos de administraciones, deben abordarse trabajos de investigación rigurosos que pongan de manifiesto dónde están los bienes a proteger, para así permitir la toma de medidas al respecto.
Como un ejemplo de este tipo de trabajo, vamos a citar algunos de los proyectos desarrollados y en desarrollo de nuestro grupo de investigación.
En Asturias se mantiene hoy día el cultivo tradicional de la escanda. Un trigo vestido (las glumas permanecen pegadas al grano tras la trilla) que es muy apreciado en la zona para producir pan artesanal y para otros usos gastronómicos. A nuestro laboratorio llegó una colección procedente de un banco de germoplasma norteamericano de más de cuatrocientas accesiones de esta especie. Esta colección había sido recolectada en Asturias por unos investigadores suizos en los años 30.
El estudio de dicha colección para variantes genéticas relacionados con la
calidad harino-panadera permitió detectar una muy amplia diversidad genética, incluyendo alelos de genes implicados en la manifestación de este carácter que hasta el momento no se conocían, y que, a partir de entonces han sido incluidos en el catálogo internacional de genes de trigo. Cada uno de estos alelos desconocidos estaban en solo una de las accesiones, por lo que el riesgo de haberlos perdido para siempre ha sido muy alto.
En estos últimos años hemos efectuado expediciones de recolección a las localidades asturianas donde se mantiene el cultivo de la escanda. Los estudios efectuados nos han permitido constatar que la diversidad genética existente actualmente es muy inferior a la que fue recolectada hace cincuenta años, pero que la supervivencia de esta práctica supone un sistema de conservación in situ de recursos genéticos único en el mundo. También hemos detectado que el cultivo es mantenido por muy pocos agricultores (muchas veces agricultoras) y de edad muy avanzada, por lo que, salvo que se tomen medidas al respecto, es esperable que en muy pocos años la situación de este sistema de conservación in situ haya colapsado. Se habrá perdido también el conocimiento técnico que sobre este sistema tradicional de cultivo. Es de señalar que el Tratado Internacional considera que el conocimiento tradicional asociado a los recursos genéticos es parte integrante de tales recursos.
Así pues, nuestro trabajo ha permitido identificar un sistema de conservación in situ, y aportar información que permitiría restaurar dicho sistema, rentabilizando la labor desarrollada por los científicos suizos, y utilizarla por los modernos mejoradores de trigo, en cuanto a estudiar la posibilidad de que los nuevos alelos ahora disponible puedan ser empleados en su mejora.
Algo parecido ha ocurrido con estudios desarrollados en castaño. En Andalucía los castañares ocupan lugares de alto valor medioambiental y son la base de sistemas productivos que contribuyen al mantenimiento de la población rural. Los estudios efectuados hasta el momento han permitido constatar que dichos castañares constituyen un sistema de conservación in
situ de recursos genéticos que incluye un alto número de variedades tradicionales autóctonas que son injertadas sobre patrones de semilla. Dichos patrones constituyen poblaciones genéticamente diferentes de las cultivadas en otros lugares. También han servido para poner de manifiesto la existencia de una relevante cultura de prácticas agronómicas tradicionales, asimismo amenazada por la edad de la mayor parte de los agricultores. Este conocimiento abre la puerta a que los agricultores y asociaciones que mantienen estos recursos puedan recibir el merecido pago por el mantenimiento de esta y otras externalidades que aportan los castañares andaluces.
Así pues, en su larga relación con el ecosistema tierra, la humanidad emergió del mismo hace dos millones de años y evolucionó hasta ser capaz de gestionarlo de forma inteligente desde hace unos cien mil años. En la mayor parte de ese tiempo esa gestión inteligente se hizo adaptándose
al resto del ecosistema, formando parte del mismo. Sin embargo, cuando hace unos diez mil años decidió cultivar las plantas, se erigió en el rey absoluto que debía dominar a la naturaleza y ponerla a su servicio. Tras estos milenios lo ha conseguido, pero ahora ha descubierto que se le escapa de las manos, que corre el riesgo de colapsarla. En estos momentos críticos necesita desarrollar una nueva forma de relación: ni es posible continuar creciendo indefinidamente, ni es posible la vuelta atrás. Consideramos que la única posibilidad es aspirar a la sostenibilidad mediante una opción positiva y activa sobre la conservación de los recursos genéticos, que debe basarse en un conocimiento riguroso de los mismos, así como en prohibir y perseguir las prácticas lesivas para los intereses globales de las sociedades presente y futura, pero también en estimular y premiar todas aquellas actividades que vayan en el buen sentido.
B. ÁLVAREZ, V. LAVADO, E. RAMÍREZ, M. SANTOS, C. UÑAC y L. F. PERALTA* IES Arroyo Harnina, c) Coria, 11. 06 200 Almendralejo (Badajoz)
Una huella digital o dermatoglifo es una impresión de las líneas de la epidermis elevadas sobre los dedos. Tienen propiedades exclusivas, entre las que destacan las siguientes: inmutabilidad (una vez formadas no varían), perennidad (duran toda la vida) y variedad (nunca son iguales en dos individuos, por lo que hay variedades: arco, espiral, lazo, etc.). La papiloscopia es la ciencia que estudia la morfología papilar, cuya rama, la dactiloscopia, es muy usada en medicina forense y criminalística, entre otras. En nuestro trabajo hemos hecho un estudio de la huella dactilar a 42 familias y 50 alumnos del centro para observar si este carácter es hereditario y la frecuencia de los diferentes tipos de huellas en los alumnos.
Palabras clave: Dermatoglifo o huella digital, papiloscopia, dactiloscopia.
(LEAVING FINGERPRINTS)
A fingerprint or dermatoglyph is an impression of the lines in the epidermis carved in the fingers. They have their own properties: immutability (once formed, they do not vary), perennity (they last for the whole lifetime) and variety (they are never equal in two individuals, so there are varieties: arch, loop, whorl, etc.). Papilloscopy is the science that studies papillary morphology, whose branch, dactyloscopy, is really used in forensic medicine, and criminalistics, among others. In our project we have done a survey in 42 families and 50 students from our school to observe if it is hereditary and the frequency of the different kinds of fingerprints in the students.
Key words: Dermatoglyph or fingerprint, papilloscopy, dactyloscopy.
Las huellas dactilares o dermatoglifos son impresiones de las líneas de la epidermis (parte superior de la piel) marcadas sobre los dedos de la mano, aunque también las podemos encontrar en las palmas de las manos y en las plantas de los pies. Están formadas por unos relieves, las crestas papilares que se encuentran separadas por unas depresiones llamadas surcos interpapilares.
La dactiloscopia, es la rama técnica de la papiloscopia que tiene por objeto el estudio de los calcos de las crestas papilares dibujadas en la cara interna de la tercera falange del dedo con el fin de determinar la Identidad Humana. La papiloscopia se funda en el principio de MISMIDAD, el cual consta de la premisa que toda persona es igual a si misma y diferente de todas las
![]()
Profesora coordinadora del trabajo
demás de su misma especie. Sus principios son:
•Inmutabilidad: El diseño formado en el individuo entre el 4º y el 5º mes de gestación permanecerá inalterado hasta después de la muerte.
•Perennidad: La figura dactilar permanecerá hasta el comienzo de la putrefacción cadavérica; pero se puede mantener después de esta si el cuerpo se petrifica o cornifica.
•Variedad: No hay una huella parecida a otra; es individual y contiene más de 20 puntos característicos.
Las huellas dactilares de todas las personas se clasifican en cuatro tipos: lazo, compuesta, arco y espiral (figura 1).

Figura 1.- Los cuatro tipos básicos de tipo de huella dactilar.
Como material se han utilizado folios, una almohadilla de tinta azul, lupas, reglas, planilla de registro de datos y el programa de estadística SPSS (versión 15.0 para Windows, SPSS Inc., Chicago).
Se ha tomado una muestra de 42 familias. Al progenitor e hijo se les han tomado las huellas dactilares de la tercera falange de los dedos pulgar e índice de la mano derecha, para ello se presiona el dedo limpio sobre la tinta y posteriormente se calca en la planilla de registro de datos las crestas de las huellas dactilares.
Se recogieron las huellas dactilares de la tercera falange de los dedos pulgar e índice de la mano derecha a 50 alumnos/as del Instituto.
Para el análisis descriptivo y estadístico de los datos se ha utilizado el programa SPSS (versión 15.0 para Windows, SPSS Inc., Chicago).
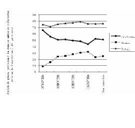
Los resultados obtenidos tras analizar las huellas dactilares de los alumnos y sus progenitores se muestran en las figuras 2, 3 y 4. Como puede observarse en la figura 2 el dedo pulgar presenta un mayor porcentaje de huellas de tipo lazo, mientras en el dedo índice los porcentajes de tipo arco, lazo y espiral son prácticamente iguales.

Figura 2.- Huellas dactilares de los dedos índice y pulgar de la mano derecha.

Figura 3.- Huellas dactilares del dedo pulgar para alumnos y progenitores.

Figura 4.- Huellas dactilares del dedo índice para alumnos y progenitores.
Hipótesis de partida:
Hipótesis alterna (Ha). Habrá diferencia significativa en las huellas dactilares del alumno dependiendo de las huellas dactilares de los progenitores.
Hipótesis nula (Ho). No habrá diferencia significativa en las huellas dactilares del alumno dependiendo de las huellas dactilares de los progenitores.
Para el análisis de la relación entre las huellas dactilares de los alumnos y las de sus progenitores se ha realizado una tabla de contingencia puesto que éstas permiten registrar y analizar la relación entre dos o más variables, habitualmente de naturaleza cualitativa. Estas relaciones se representan en el gráfico de barras agrupadas.
La tabla 1 y la figura 5 muestran los resultados obtenidos para el dedo pulgar de la mano derecha. Por otro lado, la tabla 2 y la figura 6 recogen la misma información para el dedo índice.
Progenitor | ||||||
Arco | Lazo | Espiral | Comp. | TOTAL | ||
Alumno | Arco | 0 | 0 | 0 | 0 | 0% |
Lazo | 0 | 33 | 5 | 0 | 38% | |
Espiral | 0 | 19 | 24 | 9 | 52% | |
Comp. | 0 | 0 | 0 | 10 | 10% | |
TOTAL | 0% | 52% | 29% | 19% | 100% | |
Tabla 1.- Tabla de contingencia para el dedo pulgar de la mano derecha.

Figura 5.- Gráfico de barras agrupadas para el dedo pulgar de la mano derecha.
Tabla 2.- Tabla de contingencia para el dedo índice de la mano derecha.
Progenitor | ||||||
Arco | Lazo | Espiral | Comp. | TOTAL | ||
Alumno | Arco | 0 | 10 | 0 | 0 | 10 % |
Lazo | 10 | 14 | 5 | 0 | 29 % | |
Espiral | 5 | 14 | 29 | 0 | 48 % | |
Comp. | 0 | 10 | 0 | 5 | 14 % | |
TOTAL | 14 % | 48 % | 33 % | 5 % | 100% | |

Figura 6.- Gráfico de barras agrupadas para el dedo índice de la mano derecha.
Para estudiar el grado de relación entre las huellas dactilares de los alumnos y los progenitores se ha calculado el Coeficiente de contingencia de Pearson que permite medir la asociación entre variables nominales. El valor máximo del coeficiente, el valor real del coeficiente y el valor-P, que determina la significancia estadística de los resultados, se han calculado con el software SPSS. La tabla 4 recoge los resultados obtenidos tras este análisis estadístico. Puesto que el P-valor en ambos casos es inferior a 0,05, umbral de significancia, podemos rechazar la hipótesis nula, Ho, y establecer que las variables están relacionadas entre sí.
Tras el análisis de los resultados, obtenemos las siguientes conclusiones:
En el dedo pulgar de la mano derecha existe un mayor porcentaje de huellas de tipo lazo.
En el dedo índice de la mano derecha los porcentajes de tipo arco, lazo y espiral son prácticamente iguales y diferentes al tipo compuesta.
Los distintos tipos de huellas dactilares no se dan con igual frecuencia en los dedos analizados (pulgar e índice), es decir, las huellas dactilares pueden ser diferentes en los distintos dedos de la mano.
Las huellas dactilares de los hijos y padres están relacionadas lo que nos puede indicar la existencia de un componente genético.
Tabla 3.- Relación entre las huellas dactilares de alumnos y progenitores. Coeficiente de contingencia de Pearson.
Variables | Coeficiente de contingencia de Pearson máximo | Coeficiente de contingencia de Pearson | P-valor |
índice alumno - índice progenitor | 0,866 | 0,642 | 0,000 |
pulgar alumno - pulgar progenitor | 0,866 | 0,636 | 0,000 |
<http://es.wikipedia.org/wiki/Huella_dactilar>
<http://centros5.pntic.mec.es/ies.victoria.kent/Rincon-C/Curiosid/Rc-57/Rc-57a.htm>
<http://www.elportaldelasalud.com/index.php?option=com_content&task=view&id=142&Itemi d=147>
<http://www.scielo.cl/pdf/rcp/v48n4/art03.pdf>
<http://cienciacriminalistica.blogspot.com/p/papiloscopia.html>
LAS IMPUREZAS DEL AIRE QUE RESPIRAMOS: ESTUDIO EN LA BAHÍA DE PASAIA
L. IPARRAGUIRRE, O. IPARRAGUIRRE y J.C. LIRAZAZU*
La Anunciata Ikastetxea, Camino de Lorete, 2. 20 017 Donostia-San Sebastián. lizarazujc@laanunciataikerketa.com
Partiendo del problema que supone hoy en día la contaminación atmosférica el objetivo de esta investigación es, siguiendo las pautas del método científico, analizar y determinar la calidad del aire de la zona de la Bahía de Pasaia mediante el análisis microbiológico de bacterias y hongos empleando medios de cultivo y el análisis de partículas en suspensión. Y así poder verificar la hipótesis que mantiene que la calidad del aire de la Bahía de Pasaia se ve afectada por emisiones de origen antropogénico como la antigua carretera N-1, donde hay un gran tráfico o el Puerto de Pasajes, por trabajos de carga y descarga.
Palabras clave: contaminación atmosférica, hongos, bacterias aerobias, partículas en suspensión, tráfico.
(IMPURITIES IN THE AIR WITH BREATHE: STUDY IN THE BAY OF PASAIA)
This scientific research comes from the present problem originated by the pollution and its objective is to analyze the air quality of Pasaia’s Bay following the guidelines of the scientific method using growth mediums for the microbiological test of fungus and aerobic bacteria as well as the particles in suspension. This way the hypothesis of that the pollution is caused by emissions as traffic of the old N-1 road and the loading and unloading works of the Port of Pasaia could be checked.
Key words: pollution, fungus, aerobic bacteria, particles in suspension, traffic.
Contaminación atmosférica se define según la ley de Protección del Medio Ambiente como la aparición de cualquier sustancia en el aire (sólida, líquida o gaseosa) que en grandes cantidades altere los valores de los constituyentes atmosféricos o cause efectos dañinos en el medio ambiente. Es después de la era industrial cuando ésta ha adquirido una dimensión planetaria y amenaza hoy en día con cambios climáticos, alteraciones de ciclos biogeoquímicos y pone en peligro la salud de poblaciones.
El estudio se ha realizado en torno a la Bahía y el puerto de Pasaia. Esta zona del extremo oriental de la costa cantábrica, cercano a la frontera con Francia hace que Pasaia tenga pueda tener una capacidad de comunicación, con toda la península y el continente inmejorable para el tráfico de productos. La actividad portuaria predominante es el transporte de mercancías que ocasiona una considerable
![]()
Profesor coordinador del trabajo
cantidad de emisiones que pueden afectar a la calidad del aire de la comarca, sin olvidar otros focos de emisión asociados también al Puerto.
El trabajo surgió a raíz de una propuesta al coordinador, y estudia el tema de la contaminación atmosférica tanto desde el punto teórico de las causas, los contaminantes, sus efectos y consecuencias como desde el más práctico apoyado en las prácticas realizadas con medios de cultivo para microorganismos del aire analizando las conclusiones y las posibles soluciones.
Para analizar los microorganismos del aire lo primero que se hizo fue introducirnos en el tema mediante diferentes focos de información como páginas web artículos y libros. Una vez conocida la parte teórica de la composición del aire y los problemas que provoca la contaminación a nuestro alrededor se
planteó la manera de analizar el aire de nuestro entorno en busca de resultados más específicos en lo que a lugar y tiempo respecta.

Figura 1.- Mapa de los puntos de muestreo
Para ello se colocaron tres diferentes tipos de medios de cultivo en Placas Petri en diferentes puntos de Pasai Antxo (fig. 1) procurando muestrear zonas cercanas al Puerto de Pasaia y la N-1 para poder comparar la calidad de este aire con el de otros puntos del interior del pueblo donde se presupone que los resultados serían diferentes y así comprobar los efectos del tráfico y la actividad portuaria en la atmósfera.
El mecanismo de trabajo fue el siguiente: escogidos los puntos concretos se colocaron durante 6 días en cada punto una placa durante 24 horas para recoger las partículas en suspensión del aire. Más tarde dejando dos semanas sin realizar la experimentación, con el fin de buscar datos de días aleatorios pero siempre de todos los días de la semana, se procedió a colocar esta vez los medios de cultivo, tanto las de Agar Soja Triptona como las de Agar Czapek-Dox, para analizar las bacterias y hongos del aire (figura 2), se cambiaron diariamente y tras recogerlas se llevaron al centro escolar donde se incubaron durante 48 h a 37 ºC para pasar a su posterior recuento.
Una vez recopilados los datos de las unidades formadoras de colonias y la concentración de partículas en suspensión mediante tablas y se pasó a analizar los resultados obtenidos mediante tablas, gráficos para poder llegar a sacar conclusiones de estos y así comprobar con
nuestros propios ojos la influencia en la contaminación atmosférica y la de ésta en nosotros.
Más tarde se hicieron diversos comentarios de los gráficos, que nos llevó por último, y teniendo en cuenta ciertos parámetros, a sacar las conclusiones generales sobre la información recopilada del tema tratado y también conclusiones particulares a raíz de lo descubierto en el proceso experimental.
A partir de las conclusiones se procede al planteamiento de las posibles soluciones al problema de la contaminación atmosférica tanto a nivel general como a nivel de la zona de Pasaialdea centrándonos en la experiencia práctica.
Una vez terminado todo esto se procede a la elaboración de varios posters representativos de todo el trabajo, metodología, datos, gráficos, comentarios, fotos, conclusiones…y power-points útiles para la presentación y explicación final del proyecto.

Por último se hace también una comprobación y corrección de errores de todo el borrador para su posterior divulgación como informe final tanto en soporte digital como escrito impreso.
Figura 2.- Placas de partículas en suspensión, bacterias aerobias y hongos.
Punto 1.
Es un punto situado a pie de la antigua N-1 y frente al puerto aunque no en la zona más activa en lo que a cargas y descargas respecta presenta una media de 360
partículas/cm2·día. Son destacables varios picos causados por fuertes rachas de viento.

corrientes de viento que se originan en la calle al tener cierta orientación Norte.
PUNTO3
800
Nº de partículas/cm 2
700
600
500
400
300
200
100
0

PUNTO1
600
500
400
300
200
100
0
DIA 1 DIA 2 DIA 3 DIA 4 DIA 5 DIA 6 DIA 7
Nº de partículas/cm 2
Figura 3. Partículas en suspensión del punto 1
Punto 2.

Nº de partículas/cm 2
Situado en la antigua N-1 está afectado mayormente por el tráfico, la media ronda las 355 partículas. Destacan por la meteorología los días 1 y 7, el resto de la semana el número de partículas disminuyen según amainan los vientos.
PUNTO2
700
600
500
400
300
200
100
0
DIA 1 DIA 2 DIA 3 DIA 4 DIA 5 DIA 6 DIA 7
Figura 4. Partículas en suspensión del punto 2
Punto 3.
Se trata de un punto del interior del pueblo por lo que el número de partículas recogidas a lo largo de la semana apenas alcanza la cifra de 300 partículas/cm2·día. Nuevamente el pico más pronunciado se encuentra en el día 1 llegando a 700 partículas/cm2·día y cabe destacar que el sexto día apenas se depositaron más de 50 partículas/cm2·día. Se aprecia una variación considerable a lo largo de los días como consecuencia de la climatología y las
DIA 1 DIA 2 DIA 3 DIA 4 DIA 5 DIA 6 DIA 7
Figura 5. Partículas en suspensión del punto 3
Punto 4.
Es el punto más afectado pues se encuentra junto a la antigua N-1y frente a la zona más activa del puerto, (la correspondiente a la carga y descarga de chatarra) está influido sobre todo por esta. A pesar de que la media oscila las 500
partículas/cm2·día la cifra más brutal de la

Nº de partículas/cm 2
semana se aproxima a las 1 000 partículas/cm2·día. Además de la meteorología la descarga puntual de otros materiales, además de chatarra, en el 4º día hace destacar otro pico.
PUNTO4
1200
1000
800
600
400
200
0
DIA 1 DIA 2 DIA 3 DIA 4 DIA 5 DIA 6 DIA 7
Figura 6. Partículas en suspensión del punto 4
Punto 5.
Además de estar situado en el interior del pueblo se trata de una calle peatonal, la situación cambia completamente, el número de partículas
apenas alcanza las 400 partículas/ cm2·día.
No se perciben picos a causa del viento, y además la variación a lo largo de la semana no es muy grande por lo que es el punto más estable en lo que a contaminación atmosférica por partículas en suspensión se refiere.
Punto 6.
Es el punto más alejado del tráfico y la actividad portuaria por tanto el menos afectado por estos dos motivos y en el que
menos partículas/cm2·día se recogen, la media ronda las 250 partículas/cm2·día. Las partículas recogidas son en su gran mayoría procedentes del aparcamiento con suelo de
gravilla situado frente al punto de muestreo por lo que la gráfica se dibuja en relación al movimiento de coches en el mismo. Es un
50 000 Ufc/m2·día de hongos: Datos altamente preocupantes.

PUNTO 1
60000
50000
Ufc/ m 2 .d ía
40000
punto en cierta medida saludable, comparando con los otros puntos analizados en el distrito de P.Antxo.
30000
20000
10000
0
PUNTO5
450
400
350
300
250
200
150
100
50
0
DIA 1 DIA 2 DIA 3 DIA 4 DIA 5 DIA 6 DIA 7
Nº de partícu las/cm 2
DIA 1 DIA 2 DIA 3 DIA 4 DIA 5 DIA 6 DIA 7
TSA
Czapeck Dox


Nº de partículas/cm 2
Figura 7. Partículas en suspensión del punto 5
PUNTO6
450
400
350
300
250
200
150
100
50
0
DIA 1 DIA 2 DIA 3 DIA 4 DIA 5 DIA 6 DIA 7
Figura 8. Partículas en suspensión del punto 6
Punto1.
Los resultados no pasan de 50 000 Ufc/m2·día pues aunque este punto esté situado hacia la carretera y el puerto no es donde se localiza la mayor actividad. El
pico más alto aparece en el día 5 donde las condiciones de temperatura y humedad eran más apropiadas para el desarrollo de microorganismos.
Punto 2.
Este es el punto donde se registra el índice de Ufc más elevado de todos debido a la carencia de higiene de la zona colocada en un lateral de la N-1 y próximo al puerto donde no hay nadie a cargo de la limpieza, por ello los resultados ascienden hasta los 70 000 Ufc/m2·día de bacterias aerobias y
Figura 9. Medios de cultivo del punto 1

Figura 10. Medios de cultivo del punto 2
Punto 3.
Los resultados llegan hasta 60 000 Ufc/m2·día un dato que teniendo en cuenta la orientación del edificio hacia el interior del pueblo es bastante elevado. Aunque también se registran descensos grandes en algunos días debido a las bajas temperaturas que caracterizaron la semana de muestreo y que impedía la aparición de microorganismos.

Figura 11. Medios de cultivo del punto 3
Punto 4.
Otro punto orientado en la zona de influencia de el trafico y sobre todo de la actividad portuaria lo que hace que los
resultados lleguen a alcanzar las 70 000 Ufc/m2·día de colonias en el día 5 en el
medio de TSA incluso superan los 50 000 Ufc/m2·día el 2º día.

Figura 12. Medios de cultivo del punto 4
Punto 5.
Además de estar situado en el interior del pueblo no hay demasiado tráfico en esta zona y encontramos zonas verdes pues es un paso peatonal, estas características hacen que los resultados se mantengan por debajo
de las 40 000 Ufc/m2·día durante toda la
semana menos un pico anómalo el día 5 debido a las fuertes lluvias protagonistas y que también ocurre en el resto de los puntos de muestreo.

Figura 13. Medios de cultivo del punto 5
Punto 6.
Este punto rompe la línea de todos los demás puntos pues debido a la lejanía de la carretera y el puerto su influencia esta en el aparcamiento situado frente al edificio lo que hace que aparezcan diversos picos
desde las 100 Ufc/m2·día del día 7 hasta las
60 000 Ufc/m2·día del día 5. Nuevamente destaca el pico del 5º día al igual que en el resto de los puntos. Por ello ese día la
climatología facilitó el desarrollo de microorganismos aerobios así como los hongos y mohos.

Figura 14. Medios de cultivo del punto 6
El CO es uno de los contaminantes que más daños provoca sobre la salud del ser humano.
El CO2 es la principal causa del calentamiento global.
Los compuestos de azufre y nitrógeno intervienen en la formación de la lluvia ácida que perjudica al sistema respiratorio de las personas, destroza vegetales y corroe materiales.
Los compuestos orgánicos como el CH4 influyen en el equilibrio radiactivo de la tierra.
Los metales pesados no afectan de la misma manera a todos los ecosistemas y organismos, depende de su capacidad de eliminación pero aun así son bioacumulables por lo que se van fijando a lo largo de toda la cadena trófica.
El ozono a pesar de que en la estratosfera forma la capa que nos protege de los rayos ultravioletas, en la troposfera resulta perjudicial para la salud, sobre todo, respiratoria de las personas y también para las plantas para las que resulta tóxico.
Las partículas en suspensión son a su vez junto con el ozono los que más afectan a la salud humana dependiendo la peligrosidad del tamaño de las partículas, cuanto más pequeñas más perjudiciales. También perjudican a la vegetación y los bienes materiales, como monumentos y edificios.
Los compuestos halogenados afectan a las hojas, al metabolismo de los seres humanos y animales y afectan también al calentamiento global.
Partículas en suspensión.
Si se observan los datos es perceptible que:
Es el 4º punto el lugar donde más partículas en suspensión se hallan (la brutal cifra de 1 000 partículas/cm2) con gran
diferencia debido a la presencia tanto del tráfico como a la cercanía de la zona de descarga de chatarra del puerto.
Los otros dos puntos cercanos a la N-1 (1 y 2) también presentan cifras más altas que las otras tres zonas del interior del pueblo donde ya no afecta tanto el tráfico.
Los demás puntos se mantienen por debajo de las 300 ó 350 partículas/cm2.
La actividad portuaria tiene más incidencia en la presencia de partículas en el aire que el tráfico de la antigua N-1 (Avda. Navarra).
El punto 4 como el 1 y 2 se pueden considerar de cierta peligrosidad para la salud humana por influencia negativa a largo plazo, por lo que los habitantes de esas áreas deberían tomar medidas sanitarias preventivas.
El punto 6 es el que menos partículas recibe siendo un punto en cierta medida saludable, aunque con cierta precaución.
MEDIA DIARIA
500
450
400
350
300
250
200
150
100
50
0
PUNTO1 PUNTO2 PUNTO3 PUNTO4 PUNTO5 PUNTO6
Partículas/ cm2
La calidad del aire de la Bahía de Pasaia está fuertemente relacionada con la actividad portuaria en primer lugar, el tráfico de la antigua N-1 y en último lugar, la climatología; siendo esta última la que influye a los otros dos primeros agentes.

Figura 15. Media de partículas en suspensión por puntos
Medios de cultivo.
Prestando atención esta vez a las Ufc/m2 se llega a las conclusiones de:

Figura 16. Resultados de las placas TSA

Figura 17. Resultados de las placas Czapeck Dox
La cantidad de las bacterias aerobias que reflejan las placas TSA son bastante más elevados (entre los 30 000 y 45 000 Ufc/m2) que los hongos, mohos y demás microorganismos que se encuentran en los medios de cultivo de Czapeck Dox (no ascienden de las 30 000 Ufc/m2).
Hay que tener en cuenta que las primeras placas (TSA) recogen una tipología de microorganismos mucho más amplia que las del segundo caso (Czapeck Dox).
Los resultados más elevados en TSA están en el punto 2, que se encuentra en la antigua carretera general N-1.
El tráfico diario y la falta de higiene del área que carece de buen servicio general de limpieza con algunas zonas con insalubridad, influyen ya que para ser un lugar apropiado para el desarrollo de microorganismos.
La Ufc/m2 se ve muy reducida en el medio de cultivo Czapeck Dox quedando en todos los puntos las cantidades en torno a las 18 000 Ufc/ m2.día.
En el punto 2, las Ufc/m2 es muy superior a 18 000 y además la diferencia
con las demás zonas es aún más evidente que en la gráfica de TSA.
Se obtienen resultados similares en el caso de zonas orientadas hacia el interior del pueblo como se observa en los puntos 3 y 5 (18 138 y 16 800 Ufc/m2).
Existe una gran diferencia de datos entre los 2 medios de cultivos en los puntos 4 y 6.
En el punto 4 y 6 la presencia de hongos es bastante baja comparada con la presencia de bacterias aerobias, (13 857 y 10 272 Ufc/m2) a tener en cuenta a la hora de la prevención sanitaria para los habitantes de esas áreas.
Como se ha podido observar mediante los datos recogidos y la elaboración de medias y gráficas, son el Puerto de Pasajes y el tráfico de la carretera N-1 los focos principales de la contaminación del aire pasaitarra.
Para la mejora de la calidad de este aire podemos valorar diferentes posibilidades como la reducción del tráfico de la carretera general. Para ello se puede optar para por desviar parte de la circulación por una variante que proporcionará la oportunidad de dirigirse a su destino de una forma más directa sin tener que pasar por el centro urbano de Pasaia. Además no solo se puede reducir la emisión de estos coches, camiones etc. si no que colocando zonas verdes y árboles en los límites de dicha carretera podemos hacer que la cantidad de CO2 y demás partículas contaminantes que vaguen por nuestro aire también sea menor. Esta solución ya esta en
cierta medida puesta en marcha pues ya se han construido infraestructuras que desvían el tráfico por la variante de Pasaia que va desde Irún a Donostia y están en proceso las obras que adaptarán la Avenida de Navarra a su nuevo tránsito viendo reducidos los tres carriles actuales a un único carril por dirección. El espacio sobrante será utilizado para un carril-bici y varios jardines que dentro de su estrechez darán un toque ecológico a la carretera.
Por otro lado encontramos la actividad portuaria que también causa efectos en nuestro aire en las cargas y descargas de materiales. Para ello la propuesta podía ser un mayor riego de materiales para evitar tal levantamiento de partículas a la hora trasladar sobretodo la chatarra de un barco a otro y durante el periodo que transcurre en el puerto. Aunque la mejor manera para erradicar la contaminación que produce este Puerto sería la desaparición de este o el traslado hacia el exterior de la bahía que por ahora consta como proyecto del superpuerto de Pasaia.
Al coordinador de nuestro proyecto el profesor de Biología, Juan Carlos Lizarazu, por su colaboración en el trabajo, su apoyo moral y logístico que nos ha proporcionado a la hora de la realización del trabajo de campo y de laboratorio. Así como el asesoramiento y las pautas dadas durante la redacción del informe final.
Departamento de Ordenación del Territorio y Medio Ambiente del Gobierno Vasco. “Medio Ambiente en la Comunidad Autónoma del País Vasco”.Edición de Octubre del 2001. 79-84.
EGUILUZ SAENZ, I; ESPARZA DIAZ, J; GASTÓN BURGETE, O y HERRERO ARGOTE,
(1996) Materiales de educación ambiental-educación primaria: Contaminación. Servicio de Educación Ambiental de la Dirección de Recursos Ambientales del Gobierno Vasco. 17-26.
EGUILUZ SAENZ, I; GARCÍA FERNÁNDEZ-VELILLA, S y OSTA MARTINEZ, J. (1996).
Materiales de educación ambiental-educación secundaria obligatoria: Contaminación. Servicio de Educación Ambiental de la Dirección de Recursos Ambientales del Gobierno Vasco. 161.
GÓMEZ, N.A. “El ozono troposférico: un agente contaminante”. El Rincón de la Ciencia.
centros5.pntic.mec.es/ies.victoria.kent/Rincon-C/Curiosid/RC-24.htm. [Diciembre 2000].
IHOBE. Estado del Medioambiente en la Comunidad Autónoma del País Vasco. (1998). Departamento de Ordenación del Territorio y Medio Ambiente del Gobierno Vasco. 81-103 y 111-113.
<www.cambio-climatico.com/geoingenieria-para-solucionar-el-calentamiento-global->
<www.ecodes.org/noticias/reves-en-lucha-contra-cambio-climatico>
<www.mambiente.munimadrid.es/opencms/export/sites/default/calaire/Anexos/Efectos
_de_la_Contaminacion.pdf>
<www.epa.gov/acidrain/education/site_students_spanish/whyharmful.html>
<www.cepis.org.pe/bvsci/E/fulltext/orienta/cap2c.pdf>
<www.biocen.cu/producto/indicemc/lmcp1.htm>
REFRESCOS DE COLA QUE DISUELVEN LA CARNE:
¿MITO O REALIDAD?
CÁCERES, M. COSTA, I. GÓMEZ, M. GUTIÉRREZ, Y. GUZMÁN, A. MARTÍN,
RODRÍGUEZ, E. SÁNCHEZ, M. I. SIERRO, C. GÁLVEZ* y A. PÉREZ*
IES Gregorio Marañón. Avd. Factoría de los Ángeles, s/n. 10 620 Caminomorisco (Cáceres) candidogalvez@hotmail.com
Muchos son los mitos en torno a los refrescos de cola. Uno de ellos supone la disolución de la carne al mantenerla sumergida en alguna de estas bebidas debido, probablemente, a la presencia de ácido fosfórico entre sus componentes. Con el objetivo de averiguar la veracidad de esta suposición, se ha realizado un seguimiento a la evolución de trozos de carne sumergidos en 3 refrescos de cola de diferentes marcas durante una semana. En ellos se han medido parámetros como el pH, la masa de la carne y sus dimensiones. Simultáneamente se ha seguido la evolución de la carne en ácido clorhídrico y sulfúrico con idéntico pH al de los refrescos, así como en agua. Los resultados obtenidos parecen desmentir la leyenda inicial, aunque sí se observan cambios importantes en el aspecto y textura de la carne. En cualquier caso, es el ácido clorhídrico el que provoca los efectos más visibles.
Palabras clave: Descomposiciones, ácidos, coca-cola, carne.
There are many myths about cola beverages. One of them claims that if you submerge a piece of meat in the beverage, it will be dissolved by the phosphoric acid among the components of the cola. To find the truth of this claim, we have placed pieces of meat in three different brands of Cola and follow ed their progress for one week. In the experiments we have measured the pH of the beverage, as well as the mass and size of the pieces of meat. Simultaneously, we are placed three more pieces of meat in hydrochloric acid and sulphuric acid of the same pH, as well as in water. The results of the experiment appear to disprove the initial claim, although there were important changes in the aspect and the texture of the meat. Not surprisingly, it was the hydrochloric acid which produced the most significant changes.
Key words: Decompositions, acids, coca-cola, meat.
Los refrescos de cola, y más concretamente, la Coca Cola, son bebidas cuyas propiedades son protagonistas de gran cantidad de “leyendas urbanas”. En la actual sociedad de la información estas creencias se extienden rápidamente debido al envío masivo de mensajes de correo, la existencia de páginas web de dudosa credibilidad y foros en los que no que no se establece ningún control sobre la procedencia o fiabilidad de los comentarios.
En el caso de la coca-cola, su “fórmula secreta” es, según la creencia aceptada, uno de los secretos mejor guardados desde el origen de la bebida hace ahora 150 años. Este hecho ha sido aprovechado por la
![]()
* Profesores coordinadores del trabajo
propia empresa para remarcar su originalidad y sabor único y es probable que este secretismo sea el origen de las “peculiares” propiedades que se le atribuyen. Así, es conocido su supuesto poder para desatascar tuberías, para quitar el óxido de piezas de hierro o su violenta reacción con cierto tipo de caramelos de menta. La aceptación de este tipo de hechos (ciertos o no) sin una comprobación experimental no resulta aceptable desde un punto de vista científico. Por ello nuestra intención fue comprobar en el laboratorio la veracidad de uno de esos mitos, en concreto el que presupone el ataque de la Coca Cola a la carne cuando se mantiene en ella durante un tiempo. En este sentido, la información recopilada sobre el tema
35
resulta confusa y contradictoria y no se ha encontrado ningún estudio suficientemente riguroso al respecto (MELONIAN, 2005; YASMIN, 2008). A pesar de ello, en este trabajo no se pretende estudiar la salubridad de este tipo de bebidas, sobre las que, se supone, ya se han hecho los pertinentes controles sanitarios, sino poner de manifiesto la veracidad o falsedad de uno de los mitos que tienen como protagonistas a los refrescos de cola.
En el transcurso del presente trabajo se realizaron pruebas con varias marcas de cola, con el objetivo de averiguar si sus supuestas propiedades eran debidas a algún componente de alguna de las marcas o por el contrario son comunes a los refrescos de cola. De este modo se eligió estudiar, además del efecto de la “Coca Cola”, también el de la “Pepsi” y el de una “marca blanca” de este tipo de refrescos (concretamente “Carrefour Cola”).
Asimismo, y como estas propiedades se suelen atribuir al contenido en ácido fosfórico de estas bebidas (aditivo conocido como E-338) (Real decreto 142/2002), se comparó la evolución de la carne en los refrescos y en disoluciones de otros dos ácidos, HCl y H2SO4, con el mismo pH, desarrollándose el estudio en idénticas condiciones para todos los casos.
Para realizar el estudio se utilizaron filetes de lomo de cerdo recién cortados, sin huesos, con poco contenido en grasa y procedentes del mismo pedazo de carne. Sus masas oscilaron entre 24,7 y 33,8 gramos.
En el experimento se utilizaron 3 tipos distintos de refrescos de cola (Coca Cola, Pepsi y Carrefour Cola). La acidez de estas bebidas fue de 2,4 (moderadamente ácido). Asimismo se prepararon disoluciones de H2SO4 y HCl con idéntico pH que los refrescos. Por último, y para comparar su evolución, se introdujo otro trozo de carne en agua.
Todas las reacciones se llevaron a cabo en botes con cierre hermético para ralentizar lo máximo la pérdida de CO2 de los refrescos.
Para estudiar el proceso se anotó, además de la evolución de su aspecto, la temperatura, el pH, la masa de los filetes así como sus dimensiones. En este último caso se expresó como superficie aproximada, al multiplicar las dimensiones mayor y menor del filete. La toma de datos se realizó cada 24 horas, excepto entre la 3º y 4º toma que transcurrieron 72 horas. Previamente a cada medida de la masa de la carne se dejaron escurrir los filetes durante 2 horas fuera de la disolución para evitar incluir la masa de líquido que impregna el filete.
Para la realización de estas operaciones, así como la preparación de las disoluciones de los ácidos, se utilizó material de laboratorio convencional.
El seguimiento del proceso se realizó en base a la medida de varios parámetros. Se analizarán cada uno por separado.
En todas las muestras se formaron dos fases claramente diferenciadas (figura 1) una de ellas con un tono amarillento (en la parte superior) y otra de color marrón y con sedimentos sólidos en el fondo. El hecho de que durante los primeros días no se observa una pérdida apreciable de masa en el filete (ver posteriormente), indica que esta decantación es consecuencia de una descomposición de los refrescos de cola. En un experimento paralelo se observó el mismo efecto cuando se utilizó carne de pollo.

Figura 1.- Aparición de 2 fases en el refresco Carrefour Cola y flotación de la carne
Por el contrario, en las muestras con ácidos y con agua, únicamente se observa un progresivo aumento de la turbidez de la disolución sin que el filete flote en la disolución.
En cuanto a la evolución de la carne, se observó como las muestras introducidas en todos los refrescos de cola flotan durante los primeros días del experimento (figura 1). Asimismo se observa una progresiva pérdida de consistencia de la carne, lo que provocó que en los últimos días se produjese la separación de “grumos gelatinosos” de los filetes. No se detectó olor en las muestras.

Por el contrario, cuando la carne se mantiene en disoluciones de ácidos o en agua no se produce su flotación. Sí que se observa una decoloración de la carne, que también se da en el caso de la muestra en agua. La consistencia del filete también se vio afectada en el caso del experimento con HCl (figura 2), en el que se observó la aparición de sedimentos procedentes de la carne en el fondo del tarro.
Figura 2.- Aspecto de la carne tras varios días en una disolución de ácido clorhídrico
La muestra introducida en ácido sulfúrico no se vio tan seriamente afectada, y en el caso del agua su consistencia apenas varió con respecto a las condiciones iniciales. En estos casos, la carne fue progresivamente adquiriendo un olor desagradable debido a su descomposición.
La explicación de la flotación puede encontrarse en la presencia de burbujas en la disolución debidas al contenido en dióxido de carbono en las bebidas. Asimismo, aunque sí se observa un fuerte aumento de la masa de las muestras entre el tercer y el séptimo día (que podría explicar que dejase de flotar) no tienen un comportamiento análogo en las disoluciones de ácidos minerales.
No se observó ninguna variación en la temperatura de las disoluciones con respecto a la del laboratorio. Tampoco en el caso de las disoluciones de los ácidos minerales, lo que indica que la concentración de ácido no es suficiente como para provocar un ataque “agresivo” sobre los tejidos de la carne (en experimentos similares realizados en nuestro laboratorio se observó un calentamiento apreciable de la disolución cuando se utilizaron los mismos ácidos mucho más concentrados).
En la tabla 1 aparece recogida la evolución del pH a lo largo del experimento:
Tabla 1.- Evolución del pH de las muestras en función del tiempo
pH/tiempo | 0 días | 1 día | 2 días | 3 días | 6 días | 7 días | 8 días |
Coca Cola | 2,40 | 3,40 | 3,48 | 3,74 | 3,74 | 3,64 | 3,58 |
Pepsi | 2,40 | 3,10 | 3,45 | 3,77 | 3,70 | 3,58 | 3,57 |
Cola Carrefour | 2,40 | 2,80 | 3,21 | 3,43 | 3,59 | 3,44 | 3,29 |
H2SO4 | 2,40 | 2,60 | 3,21 | 3,48 | 3,73 | 3,84 | 4,00 |
HCl | 2,40 | 3,42 | 3,67 | 3,42 | 3,65 | 3,66 | 3,76 |
H2O (blanco) | 6,40 | 5,75 | 5,74 | 5,70 | 5,92 | 5,93 | 6,00 |
Como puede apreciarse, de nuevo el comportamiento de las muestras en refrescos de cola es similar en todos los casos. Se ha elegido como ejemplo representativo la evolución del pH de la Pepsi para representarlo gráficamente (figura 3).

Figura 3.- Evolución del pH de la Pepsi con carne en función del tiempo
Como puede apreciarse, el pH de las bebidas de cola aumenta inicialmente. Sin embargo, la tendencia se invierte en los últimos días, en los que se observa, a partir del 4º día un ligero aumento de la acidez. Estos hechos se pueden explicar si tenemos en cuenta que la acidez de los refrescos se debe a la presencia de ácido fosfórico así como, en menor medida, a la presencia de dióxido de carbono (gaseoso) en disolución. Éste último va perdiéndose poco a poco al abrir los frascos para la toma de datos, lo que supone una disminución de la acidez en la disolución y por tanto un aumento del pH hasta que se ha perdido definitivamente todo el dióxido de carbono. A partir de ese momento se observa una estabilización con
tendencia a disminuir el pH debido, probablemente, a la descomposición de la materia orgánica.
En el caso de los ácidos minerales, y a diferencia de las bebidas de cola, se puede comprobar como el pH aumenta progresivamente a lo largo de la descomposición, lo que indica que el ácido se neutraliza a lo largo del tiempo. En el caso de la muestra con agua, los valores de pH se mantienen en un intervalo más o menos constante en torno a 6.
Para comprobar si las diferentes disoluciones eran capaces de disolver la carne se hizo un seguimiento de la masa de los filetes de carne a lo largo del tiempo (tabla 2). En el análisis de estos datos se debe tener en cuenta que, a pesar de las precauciones tomadas, resultó difícil eliminar la masa de disolución que impregnaba la muestra de carne, lo que explicaría alguna de las anomalías en los datos recogidos.
De nuevo se eligió el comportamiento de la muestra con Pepsi para representar gráficamente los datos obtenidos (figura 4).

Figura 4.- Evolución de la masa de carne introducida en Pepsi en función del tiempo
Tabla 2: Evolución de la masa de las muestras en función del tiempo.
Masa (g) /tiempo | 0 días | 1 día | 2 días | 3 días | 6 días | 7 días | 8 días |
Coca Cola | 33,5 | 32,2 | 33,6 | 44,5 | 64,6 | 65,9 | 66,4 |
Pepsi | 30,7 | 28,9 | 30,1 | 35,8 | 58,8 | 53,8 | 53,9 |
Cola Carrefour | 30,1 | 29,2 | 35,1 | 48,3 | 51,4 | 44,6 | 38,5 |
H2SO4 | 33,8 | 33,5 | 34’, | 35,9 | 38,9 | 39,6 | 40,0 |
HCl | 25,3 | 27,0 | 32,5 | 32,3 | 32,6 | 32,5 | 31,4 |
H2O (blanco) | 24,7 | 25,0 | 24,8 | 24,7 | 24,3 | 24,6 | 24,8 |
Como se observa, las muestras con refrescos de cola experimentaron un fuerte aumento de la masa entre el día 3 al 7, llegando casi a doblar su valor. Esto puede deberse a la absorción de líquido por parte de la muestra. La disminución de la masa en los últimos días puede deberse al desprendimiento de pequeños trozos de carne debido a la pérdida de consistencia de la carne. En este caso, la cola Carrefour presenta un comportamiento diferente al de las otras dos muestras, siendo la que menos aumento de muestra presenta.
En el caso de los ácidos se observa un aumento lento y progresivo de la masa de la muestra. En el caso del HCl, la pérdida de la masa en los últimos días se debe al deterioro de la muestra con el tiempo (aparición de grumos de grasa).
Otro modo de comprobar si se ha producido la disolución de la carne es

Figura 5.- Evolución de la superficie de la carne introducida en Pepsi en función del tiempo
mediante el estudio en el cambio de las dimensiones del filete. Debido a lo irregular de los pedazos de carne, se hizo una aproximación y se midieron las dimensiones mayor y menor del filete, aproximando su superficie a la que podía tener si la forma del mismo fuese rectangular.
En la figura 5 se recoge la evolución de la muestra en Pepsi:
Como se observa, las dimensiones de los pedazos de carne muestran una tendencia a aumentar su tamaño a lo largo del experimento. Este comportamiento se observa en todos los casos, incluyendo las muestras introducidas en ácidos minerales. Este hinchamiento de los filetes es coherente con el aumento de masa que también se observa debido a la absorción de líquido por parte de las muestras. El comportamiento más errático lo vuelve a presentar la muestra con cola Carrefour.
El comportamiento de todos los refrescos de cola es similar en los casos estudiados.
Ninguno de los refrescos de cola disuelve la carne.
Los filetes sufren una continua descomposición que también se observa en las muestras en disoluciones ácidas.
De todas las muestras estudiadas, la que provoca un mayor deterioro de la carne es la que se introdujo con ácido clorhídrico, lo cual parece razonable si tenemos en cuenta que ése es el ácido presente en los jugos gástricos.
Tabla 3: Evolución de la superficie de la carne en función del tiempo.
Área (cm2) /tiempo | 0 días | 1 día | 2 días | 3 días | 6 días | 7 días | 8 días |
Coca Cola | 81,00 | 81,00 | 89,20 | 105,00 | 129,6 | 157,50 | 145,20 |
Pepsi | 78,00 | 78,00 | 78,00 | 94,25 | 131,75 | 136,00 | 152,00 |
Cola Carrefour | 76,20 | 68,75 | 82,50 | 93,75 | 117,00 | 88,00 | 104,00 |
H2SO4 | 73,20 | 73,20 | 86,40 | 91,76 | 100,00 | 97,50 | 96,75 |
HCl | 91,00 | 81,25 | 98,00 | 78,00 | 73,50 | 82,50 | 84,00 |
H2O (blanco) | 63,00 | 80,00 | 79,95 | 72,00 | 81,28 | 78,12 |
BIBLIOGRAFÍA
MELONIAN (2005), El test de Meloniam [en línea], Página web de meloncorp.com, 29 mayo 2005 <http://www.meloncorp.com/arch/0091/0091.shtml> [Consulta: 12 abril 2011]
Real Decreto 142/2002, de 1 febrero 2002 (B.O.E. del 20.2.2002),
<http://www.boe.es/boe/dias/2002/02/20/pdfs/A06756-06799.pdf> [Consulta: 12 abril 2011].
YASMIN (2008), El efecto de la Coca Cola en tu estómago [en línea], página web karmapanda.com, 4 octubre 2008 <http://www.karmapanda.com/2008/10/04/el-efecto-de-la-
coca-cola-en-tu-estomago/> [Consulta: 12 abril 2011]
MONCLÚS, J.A. QUILES y M.P. MENOYO**
Instituto Juan Manuel Zafra, c/ Rogent, 51. 08 026 Barcelona. Con la colaboración del Collegi Montserrat mmenoyo@xtec.cat
Proyecto sobre el seguimiento del proceso de mejora de la vivienda de uno de los autores en términos de auto-sostenibilidad: desde la obtención de datos reales, el análisis de las facturas de suministros, la comparación de precios en catálogos de productos (2008-09) hasta su simulación utilizando Solid Edge, AutoCAD, Movie Maker y Excel para demostrar su viabilidad económica y energética y para la obtención del periodo de amortización que supondría.
Palabras clave: Sostenibilidad, ahorro energético, amortización de la instalación.
(PROJECT BASED ON THE VIABILITY OF THE TRANSFORMATION OF A CONVENTIONAL HOUSE INTO A SELF-SUISTANABLE ONE IN ENERGETIC TERMS)
Project about following the process of improving one of the author's house in terms of self-sustainability: from the taking of real data, analysis of supplies bills and comparing prices in products catalogues (2008-09) to its simulation using Solid Edge, AutoCAD, Movie Maker and Excel in order to prove its economic and energetic viability and obtaining the amortization period it would take to achieve it.
Key words: Sustainability, energy saving, amortization.
La mayoría de las personas no son conscientes de la cantidad de energía que derrochan. Este proyecto busca reducir el gasto energético y la contaminación subyacente, aplicando instalaciones y mecanismos sostenibles en la casa de uno de los autores del trabajo, por lo que partiendo de unas instalaciones reales, se pretende estudiar qué supondría en términos económicos y energéticos realizar modificaciones en los servicios que actualmente dispone.
Sobre sostenibilidad se ha escrito mucho y se cuenta con bastante información. Los propios libros de texto presentan el tema en un contexto planetario, los estudios de Gerardo Wadel centran el tema en Construcción y Sostenibilidad, en concreto
en la construcción industrializada (construcción modular ligera aplicada a la vivienda) en el que se muestra cómo ha ido evolucionando la economía de nuestra sociedad, y por consecuente, la evolución de la industrialización hasta nuestros tiempos. Con este estudio, pretende mostrar cómo, a causa de esta gran evolución a nivel industrial, hemos explotado los recursos naturales de nuestro planeta de tal manera que hemos hecho que la naturaleza llegue al límite en su capacidad, tanto de producción de recursos como en eliminación de residuos. Pero lo que más se recalca, es que todo este gran consumo que realizamos, es por el mero hecho de obtener unas cantidades extremas de energía para luego ser suministrada y malgastada por nuestra sociedad consumista.
![]()
Este trabajo de investigación fue premiado con un Segundo premio en Tecnología e Ingeniería en el XXIII
Certamen Jóvenes Investigadores celebrado del 27 de septiembre al 1 de octubre de 2010 en Mollina (Málaga) e igualmente con uno de los 8 premios de estancias en un centro del CSIC. También se le concedió el premio Sostenibilidad en los XVI premios San Viator (Madrid) el 2 de octubre de 2010.
** Profesora coordinadora del trabajo
La web http://www.plusarquitectura. info/ ha resultado particularmente útil gracias a su buscador lo que ha permitido conocer que el 19 de octubre de 2005 se celebró en Mataró el primer Congreso sobre Edificación Sostenible con el tema monográfico Calificación Energética de Viviendas y que posteriormente en noviembre de 2007 y en Sevilla, se celebró el Congreso Internacional sobre Construcción Sostenible y que concretamente había habido una comunicación sobre Estrategia de Rehabilitación con criterios de ahorro energético de la vivienda social en Europa- Proyecto NIRSEPES y en donde se dijo que “Básicamente, solo existen tres procesos que pueden conducir razonablemente a reducir las necesidades energéticas o la carga sobre el medio ambiente: la rehabilitación de edificios existentes; la sustitución de antiguos edificios ecológicamente despilfarradores por nuevas formas de bajo consumo y el cierre de intersticios entre edificios”.
También se debe reseñar la existencia del proyecto ARFRISOL, iniciado en 2007 contando con 5 edificios construidos actualmente, fue el primero de los proyectos singulares estratégicos impulsados por el MEC, y que tiene como objetivo la adecuación de la arquitectura bioclimática y de la energía solar en edificios públicos simbólicos para el acondicionamiento térmico, calefacción y refrigeración. Sus impulsores, calculan que, de extenderse este modelo de construcción y aprovechamiento energético, podría permitir el ahorro de entre un 80 y un 90% de la energía necesaria para el funcionamiento de este tipo de inmuebles.

Finalmente cabe destacar también otros estudios más especializados en consumos
particulares como una tesis doctoral de Katia Carolina Simancas Yovane, quien se centra en un estudio del consumo energético que tenemos en las viviendas actuales, y a partir de ese estudio pretende controlar la incidencia directa del gasto energético (iluminación, condiciones térmicas, servicios…) sin disminuir la salud y el confort de los ocupantes. Por otra parte, también cabe destacar su pretensión en eliminar las grandes cantidades de residuos. Como conclusión final, muestra las ventajas y desventajas que tiene la rehabilitación bioclimática de viviendas unifamiliares, después de estudiar las variables físicoambientales de las zonas templadas del mediterráneo.
Este trabajo se concreta en la realización de un proyecto de transformación de una vivienda convencional (la vivienda de uno de los autores, figura 1) en una vivienda autosostenible en términos energéticos.
El trabajo presenta los métodos sostenibles, que se encuentran en el mercado actual más eficaces para reducir en el consumo en nuestra vivienda (Según datos de Construmat-Barcelona 2009). También presenta un modelo de instalación de estos métodos aplicable a cualquier vivienda convencional de características similares.
Inicialmente se parte de una casa convencional, con un consumo no controlado y se simula su transformación en una vivienda sostenible en términos energéticos. Una casa más respetable con el medio ambiente y además que permite obtener un beneficio a lo largo de su vida por los sistemas instalados para reducir el consumo y en algún caso disponer de un excedente para su venta.
Figura-1 Características de la casa unifamiliar
Se pretende así demostrar que está en manos de todos hacer un consumo responsable y que el esfuerzo ayudaría a preservar el medioambiente, e incluso, obtener un beneficio económico a lo largo de los años respecto al consumo sin la utilización de métodos sostenibles.
Para mostrar todo este conjunto de métodos sostenibles que se engloban en la instalación final, el trabajo consta de una parte gráfica. Dicha parte corresponde a un diseño en 3D de la vivienda, con las pertinentes instalaciones, realizada con el programa de diseño Solid Edge. En este diseño se muestra al detalle como partiendo de la realidad actual, se distribuyen las nuevas instalaciones e intenta mostrar con la máxima exactitud posible los elementos instalados, como por ejemplo un depósito, un filtro o las placas fotovoltaicas.
En nuestro país las familias gastan el 30% de la energía total del país (lo que supone una producción media de 5
toneladas de CO2) y unos 250 m3 de agua al año. Según los datos obtenidos en http://energuia.com/2009/03/energia-viva/
Dado que estas cantidades suponen un consumo excesivo de recursos, sería conveniente implantar nuevos sistemas que disminuyeran el consumo, además, ¿no es cierto que todos conocemos la existencia de las energías sostenibles?, entonces ¿por qué no hacemos un mayor uso de ellas? De esta manera conseguiríamos continuar nuestro avance sin erosionar la naturaleza, o cuanto menos disminuir el impacto sobre ella.
Además de la necesidad de reducir el consumo de energía para contribuir a la disminución de la contaminación, se debe tener en cuenta el factor económico, ya que los precios de la electricidad, el agua, y los combustibles como el gas natural evolucionan con una tendencia alcista.

Fig-2 De la realidad a la realidad virtual
A vista del despilfarro de los recursos naturales en las sociedades modernas, se puede plantear la pregunta, ¿cómo sin renunciar al confort que actualmente gozamos en nuestras casas, podríamos modificar las instalaciones que nos suministran agua, luz y gas consiguiendo un beneficio económico y medioambiental?
El objetivo del trabajo, a nivel general, es efectuar un estudio de los gastos de agua, luz y calefacción en una vivienda unifamiliar real que generan 4 personas y plantear un cambio en sus instalaciones con la finalidad, no solo de reducir el coste económico que supondría para la familia, sino también el beneficio ambiental que supondría en cuanto a ahorro energético.
El proyecto se basa en la modificación de las instalaciones de una vivienda convencional unifamiliar, aprovechando al máximo sus posibilidades y partiendo de los precios del mercado actual.
De una manera más específica, los objetivos principales son:
Investigar y analizar el consumo energético (electricidad, calefacción…) en una vivienda unifamiliar en donde residen cuatro personas.
Investigar y analizar el consumo de agua (consumo, uso doméstico, riego, exteriores, piscina…) en una vivienda unifamiliar en donde residen cuatro personas y tiene jardines, huerto y piscina.
Establecer métodos que nos permitan reducir el consumo energético considerablemente para evitar derroche de energía y/o agua.
Realizar una comprobación y estimación del coste económico que tendría la instalación que permitirá reducir el consumo energético y/o de agua de la vivienda. Se utilizan precios reales y presupuestos realizados por empresas existentes en el mercado actual.
Calcular el periodo de amortización económica para estimar si la instalación se compensa tanto en términos energéticos como en los económicos.
Mostrar un referente de toma de conciencia para que otros puedan realizar este tipo de modificaciones en sus casas, basado en el proyecto que aquí se presenta.
Para realizar este trabajo se dispuso de una casa convencional que sin métodos sostenibles. La casa en cuestión se encuentra en las afueras de Barcelona, en Vallirana, se trata de la vivienda en la que reside José A. Quiles (uno de los autores).
En la planificación metodológica que se sigue para desarrollar este proyecto, se diferencian dos fases se corresponden con las preguntas siguientes:
El coste real que generaba la familia a lo largo de un año, por lo que se consultan las facturas de agua y luz.
Los precios del mercado en cuanto a instalaciones (sanitarios, conducciones, etc).
Interpretar correctamente los planos de la casa y realizar medidas directas de diferentes elementos.
Bibliografía sobre las bases teóricas en las que se ha de sustentar el proyecto.
Se utilizan los programas de diseño gráfico “solid edge” y “autocad”, lo que requiere un tiempo de aprendizaje.
Con el programa Excel se calculan los costes y las amortizaciones necesarias para que el proyecto resulte rentable.
Por lo tanto se ha seguido una metodología cuantitativa de simulación.
La validación y fiabilidad de la metodología empleada viene determinada por su posible repetición por otras personas, no únicamente en casas similares como la mostrada, sino porque puede ser un referente de información de lo que actualmente está en el mercado y con ello tener elementos para adaptar esta propuesta a cualquier domicilio. Aunque los precios puedan variar y haya que hacer modificaciones para su aplicación, no variarían los pasos a realizar desde el estudio de las facturas a la medición real de los elementos en el plano, su posterior diseño y visualización, así como el cálculo de amortización.
Los resultados del trabajo se dividen en dos ámbitos: en lo que pertenece a la
reducción de consumo energético y en todo lo que supone económicamente la aplicación de estos métodos.
Como se explica en anterioridad, los sistemas de reducción del consumo en este proyecto tratan de reducir el consumo eléctrico, el consumo de gasoil i el consumo de agua de red.
Al aplicar los sistemas sostenibles en esta vivienda unifamiliar se reduce el consumo de agua y el de gasoil en un 50% y un 55% respectivamente. Además gracias al aprovechamiento de las aguas pluviales se puede reducir el consumo de agua de red hasta casi un 100%.
En el caso del consumo eléctrico, el consumo una vez aplicado todos los sistemas sostenibles en nuestra vivienda ha aumentado. Esto es debido a la utilización en la instalación de aguas de sistemas que requieren de un consumo eléctrico para su funcionamiento (como es el depósito filtrador de la empresa Hansgrohe). Esto supone pasar de un consumo de 5 332 kWh al año a 6 194,53 kWh. Pero en el proyecto también se propone un sistema de placas fotovoltaicas para la vivienda, que subministraría a la red 7 102 kWh anualmente, haciendo así que la producción de energía eléctrica fuera superior al consumo de ésta.
Pero para que estos métodos sean coherentes, es decir, para que la gente se fije en estos, deben ser económicamente rentables. Por esta razón se realiza un estudio económico en cada uno de los ámbitos: en la instalación eléctrica, en la calefacción (consumo de gasoil) y en la instalación de agua.
Según el estudio económico realizado (tabla 1), la instalación del agua estará amortizada cuando hayan pasado 29 años, la instalación eléctrica cuando hayan pasado 18 años y la calefacción cuando hayan pasado 20 años aproximadamente. Esto supone que todos los métodos y sistemas sostenibles que se proponen aplicar a la vivienda objeto de estudio, estarían amortizados en 27 años.
Se observa que, aun existiendo un gran número de posibilidades en el mundo de la sostenibilidad, no todos los métodos existentes son adaptables a una vivienda particular como la aquí estudiada.
Para conocer cuáles eran los métodos con mayor rendimiento, se realiza un
estudio de las instalaciones y parámetros que hay en la vivienda (localización de la vivienda, inclinación del tejado…). Una vez realizado el estudio, se concretan los métodos utilizados para la fontanería, la calefacción y para la instalación eléctrica.
Las mejoras han permitido minimizar el consumo de agua haciendo que el balance entre el agua obtenida y el consumo sea prácticamente nulo. Por lo que respecta a la calefacción, se consigue reducir el consumo de gasoil un 60%. Por último, gracias a la instalación de las placas fotovoltaicas, se genera energía eléctrica suficiente como para obtener un excedente que, además, es mucho más sostenible que la obtenida de la red.
En el ámbito económico, estos métodos tienen una amortización rentable, en parte gracias a las subvenciones realizadas por el estado (en el caso de las placas fotovoltaicas y de los colectores solares) y su uso proporciona un beneficio al cabo del tiempo.
Como ya se ha señalado, en este proyecto la nueva instalación estará amortizada al cabo de 27 años y, a lo largo de los 40 años de vida calculados, existiría un ahorro de 127 903,38 € en agua y calefacción y se obtendría un beneficio de 107 824,57 € en electricidad.
Con estos resultados, se puede llegar a la conclusión de que la instalación que se propone es rentable económicamente, y que además proporciona un ahorro energético que ayuda a reducir el consumo de CO2.
El análisis de este proyecto apunta que sería posible que las viviendas de nuestro país que no han sido construidas con criterios de sostenibilidad, fueran rehabilitadas y se pudieran aplicar medidas comparables a las aquí descritas.
A nuestras familias, a nuestros tutores de investigación, a nuestros centros escolares y a todas las personas que confiaron en nuestro trabajo

Tabla 1.- Tabla de amortización.
<http://www.construmat.com> [Consulta: Abril de 2009]
<http://www.plusarquitectura.info/> [Consulta: Junio de 2009]
<http://energuia.com/2009/03/energia-viva/> [Consulta: Mayo de 2009]
PROYECTO ARFISOL [en línea] Heras Celemín, M. C. (coord.) http://www.arfrisol.es/ ARFRISOLportal/ [Consulta: Mayo de 2009]
PROYECTO NIRSEPES. [en línea] Gómez Jimenez, M. I. (CRANA); Veit, J. (OZ-NRW);
Tzanakaki, E. (CRES); Manteca González, F. (CENER); Budweg, A. (OZ-NRW); Díaz Regodón, I. (CENER). http://www.altemir.com/nirsepes.php [Consulta: Mayo de 2009]
SIMANCAS, K.C. (2003) Reacondicionamiento bioclimático de viviendas de segunda residencia en clima mediterráneo (Tesis doctoral UPC 2003) 353p más anexos.
WADEL G.(2008) Construcció i desenvolupament Sostenible (II Jornada Tècnica Anual 9 de mayo de 2008) 28p
WADEL G (2009) La sostenibilidad en la construcción industrializada: La construcción modular ligera aplicada a la vivienda (Tesis doctoral UPC Julio 2009) 321p más anexos.
Á. FUENTES y M. T. GIRALDA*
IES Gabriel y Galán, Avd. San Sebastián s/n. 10 810 Montehermoso (Cáceres).
Los avances en la identificación genómica y el desarrollo de técnicas biológicas permiten a los investigadores conocer la estructura del ADN y la información biológica que contiene en su secuencia. Basados en ellos los científicos son capaces de mutar esa información de los individuos, otorgándoles propiedades diferenciales, que no poseían. Así se consiguen nuevas variedades en un breve espacio de tiempo frente a los años empleados en conseguir una especie mejorada por métodos naturales de cruzamiento. Algunas áreas de interés para el desarrollo de este tipo de tecnologías son las fermentaciones microbianas, vacunas de virus y las obtenciones de plantas y animales transgénicos. Todo ello genera revisiones éticas y económicas a favor y en contra.
Palabras clave: Transgénicos, ingeniería genética, cubierta proteica, ética.
(TRANSGENIC. TRANSGRESSORS?)
Both the advances in genomic identification and the development of biological techniques allow researchers to know the DNA structure as well as the biological information in its sequence. Based on them, scientists are able to mutate that individual information giving them differential properties they did not have before. Therefore, new varieties are found in a short period of time in contrast to all those years spent on getting an improved species by natural crossing methods. Some interesting areas for the development of this type of technologies are microbial fermentations, virus vaccines and transgenic plants and animals obtaining. All this causes ethical and economic revisions for and against.
Key words: Transgenic, genetic engineering, protein cover, ethics.
Desde la antigüedad la humanidad ha modificado y utilizando diferentes organismos para obtener beneficios. Se sabe que las civilizaciones Sumeria y Babilónica (6 000 años a.C.) ya conocían cómo elaborar cerveza y los egipcios 2 000 años después sabían fabricar pan a partir de trigo.
A lo largo de la historia se ha ido avanzando en el conocimiento de los organismos y, más recientemente, en la década de 1970, los avances científicos en el campo de la biotecnología y la genética han permitido desarrollar una serie de técnicas revolucionarias de laboratorio, que, por primera vez permiten manipular el material genético. Es el comienzo de la ingeniería genética. Se basa en la formación in vitro de nuevas combinaciones de
![]()
Profesora coordinadora del trabajo
material genético para insertar un ADN de interés en un vehículo genético (vector).
Así, tras su introducción en un organismo hospedador, el ADN híbrido o recombinante se puede replicar y expresar. Los vectores de clonación más frecuentes en bacterias son plásmidos, genomas de algunos virus y cromosomas artificiales.
Los seres vegetales o animales que contienen ADN recombinante en sus células, introducido por técnicas de ingeniería genética, se denominan Organismos Genéticamente Modificados (OGM) o bien transgénicos, y la técnica utilizada para introducir esos genes en las células, transgénesis. Estos genes foráneos, portadores del carácter que se quiere inducir, pueden proceder de plantas, animales o microorganismos. Estos últimos debido a su gran biodiversidad, rápido crecimiento y amplias capacidades
metabólicas, son los verdaderos protagonistas de la biotecnología. Ésta, poco a poco ha ido ampliando sus posibilidades de aplicación, cuanto más se investiga en el genoma de diferentes organismos.
Paralelamente a los avances científicos, las aplicaciones de la biotecnología en diferentes ámbitos, han ido generando una enorme controversia que tiene lugar a todos los niveles, tanto en el ámbito científico como en el social, sobre las ventajas e inconvenientes que supone la aparición de estos organismos genéticamente modificados; más aún cuando estos organismos se utilizan en la industria alimentaria y médica. La inquietud por conocer mejor sus posibilidades y alcance es la causa de la realización de este proyecto, en el cual se intenta recoger desde un punto de vista global y, absolutamente neutral, una exposición sobre la biotecnología, sus productos y cómo estos se encuentran integrados en nuestra vida diaria.
Este proyecto comenzó mediante el planteamiento de una encuesta, cuyo propósito era obtener datos sobre si existe o no, conocimiento de los productos biotecnológicos entre la población y cómo ésta cree que los transgénicos están integrados en su vida diaria.
Para ello se realizó una encuesta a 100 personas de edades comprendidas entre 16 y 60 años. En ella se recogían dos preguntas: “¿sabe usted en qué consisten los productos biotecnológicos?” y “Respondiendo del 1 al 10, siendo el 10 la máxima integración, ¿cómo cree que los productos biotecnológicos se encuentran integrados en su vida diaria?”. Al analizar los datos de las encuestas, se observó el gran porcentaje de individuos que desconocían los productos derivados de la biotecnología. Además consideraban que éstos no estaban apenas integrados dentro de su vida diaria.
La metodología utilizada en el presente proyecto de investigación fue descriptiva. Se recabó información, mediante búsqueda bibliográfica, sobre productos
biotecnológicos y sus aplicaciones, considerando casos de interés por su actualidad, repercusión social y/o ética.
Se dio a conocer mediante la elaboración de un panel para facilitar de forma precisa y clara aspectos manipulativos sobre el ADN, logros alcanzados en diferentes ámbitos de aplicación, ventajas e inconvenientes.
Con la investigación realizada, se ha estructurado el proyecto en tres aspectos: conceptos básicos sobre la biotecnología, aplicaciones biotecnológicas y ventajas e inconvenientes de la manipulación genética.
Conceptos básicos sobre la biotecnología.
La biotecnología no es, en sí misma, una ciencia; sino un enfoque multidisciplinario basado en la aplicación de conocimientos biológicos a determinados procesos industriales: especialmente usada en agricultura, farmacia, ciencia de los alimentos, medioambiente y medicina; involucra varias disciplinas y ciencias como biología, bioquímica, genética, virología, agronomía, ingeniería, física, química, medicina y veterinaria entre otras. Hay muchas definiciones para describir la biotecnología. En términos generales biotecnología es el uso de organismos vivos o de compuestos obtenidos de organismos vivos para obtener productos de valor para el hombre.
La ingeniería genética es una rama moderna de la biotecnología. Consiste en el uso de diversas técnicas para manipular el ADN de los organismos, básicamente mediante la transferencia de ADN de unos organismos a otros.
En las primeras fases del desarrollo de la biotecnología destaca el cultivo de células o tejidos vegetales. Para realizar la transgénesis, se utilizaron vectores transgénicos, derivados de una bacteria del suelo denominada Agrobacterium tumefaciens, que permite transportar la combinación genética de interés al genoma de la planta que se quiere mejorar.
Mediante estas técnicas se ha conseguido una selección y mejora de ciertas plantas y, por tanto de la producción
agrícola, al aumentar la productividad y la resistencia a plagas, herbicidas y enfermedades microbianas en especies como el trigo o la cebada, por ejemplo.
Actualmente la caracterización del genoma de las plantas cultivadas y de las silvestres constituye un pilar esencial de los planes a largo plazo en el rediseño de las plantas de cultivo para las mejoras agrícolas en el siglo XXI.
Otro campo de excepcional interés tanto médico, como farmacéutico lo constituye el cultivo de células animales, debido a que ha permitido producir diversas moléculas de gran interés, como interferones, globulinas, hormonas del crecimiento, insulina, etc. Para ello es preciso transferir un solo gen, independientemente de cuáles sean los organismos donantes y receptores. Así, actualmente, la insulina que se elabora en la industria ya no es de cerdo, sino humana. Se logró insertar el gen humano de producción de insulina en el cromosoma de una bacteria, a partir de la cual se fabrica industrialmente
Biotecnología roja: se aplica a la utilizada en procesos médicos. Algunos ejemplos son el diseño de organismos para producir antibióticos, el desarrollo de vacunas más seguras y nuevos fármacos, la producción de hormonas, los diagnósticos moleculares, las terapias regenerativas y el desarrollo de la ingeniería genética para curar enfermedades a través de la manipulación génica (figura 1).
Biotecnología blanca: también conocida como biotecnología industrial, es aquella aplicada a procesos industriales. Un ejemplo de ello es el diseño de microorganismos capaces de elaborar un producto químico o el uso de enzimas como catalizadores industriales. También se aplica la biotecnología en la industria textil, en la creación de nuevos materiales, como plásticos biodegradables y en la producción de biocombustibles. Su principal objetivo es la creación de productos fácilmente degradables, que consuman menos energía y generen menos desechos durante su producción.

Figura 1. La tecnología de ADN recombinante permite la creación de determinadas vacunas, imposibles de crear de otra forma hasta el momento, mediante el aislamiento de algunos de los genes que llevan la información para las proteínas que se encuentran en la superficie del patógeno contra el que queremos obtener una vacuna. El gen en cuestión se introduce en bacterias, levaduras, o células eucariotas, donde obtienen grandes cantidades de la proteína en cuestión. A continuación esta proteína es purificada, y utilizada directamente como vacuna (vacuna recombinante). Entre las vacunas recombinantes actualmente disponibles se encuentra la vacuna contra el virus de la hepatitis
B. También se han producido y están siendo investigadas vacunas recombinantes contra enfermedades como la malaria, el cólera, la fiebre tifoidea, etc.

Figura 2. Se trató de buscar dentro de las especies naturales de la zona afectada aquellas bacterias y hongos que efectuasen mejor su trabajo, es decir, comerse el petróleo. Una vez descubiertos, se encontró cuál era la mejor dieta para que crecieran en número. El tercer paso fue arrojar los nutrientes adecuados en aquellos lugares contaminados. Para estimular el crecimiento de los microorganismos nativos limpiadores los nutrientes que se echaron tenían nitrógeno y fósforo.
Aunque todo esto no implica que el uso de bacterias elimine la necesidad de limpiar las costas, las bacterias ayudaron a eliminar aquellos restos donde no se había podido limpiar..
También se usan organismos modificados genéticamente para mejorar la contaminación ambiental: se llama biorremediación. Una aplicación es la eliminación de las mareas negras mediante el uso de bacterias capaces de digerir los hidrocarburos, transformándolos en sustancias menos o nada contaminantes. Otras bacterias son capaces de vivir en presencia de metales pesados y los eliminan de los ecosistemas mediante reacciones químicas (figura 2).
Biotecnología verde: Es aquella aplicada a procesos agrícolas, como es el diseño de plantas transgénicas capaces de crecer en condiciones ambientales desfavorables o plantas resistentes a plagas y enfermedades. Por ejemplo: una planta de colza de primavera (canola) puede convertirse en una fábrica que agrega beta carotina al aceite de canola para aliviar la deficiencia nutricional, que causa la ceguera nocturna.
![]()
Biotecnología azul: También llamada marina, es un término utilizado para describir las aplicaciones de la
biotecnología en ambientes marinos y acuáticos. Aún en una fase temprana de desarrollo sus aplicaciones son prometedoras para la acuicultura, cuidados sanitarios, cosmética y productos alimentarios.
Otra técnica actual de ingeniería genética es la de clonación reproductiva: consiste en la obtención de vegetales o de animales, genéticamente idénticos a sus progenitores. Aunque presentan un enorme potencial de mejora, su utilización también conlleva una gran cantidad de problemas éticos y morales.
Un ejemplo es la lucha contra la grafiosis de los olmos, se da por clonación: La grafiosis es una enfermedad transmitida por un insecto portador de un hongo que ha provocado la muerte de gran parte de las olmedas del mundo. La propagación de materia vegetativa en árboles adultos no suele tener éxito, por lo que se han considerado diversos enfoques desde la biotecnología para la repoblación y el mantenimiento de los olmos: la recolección de germoplasma, la posibilidad de realización de cruzamientos, los sistemas de inoculación y de evaluación de la enfermedad, la obtención de resistencia, y las posibles consecuencias para los olmos nativos de la introducción de híbridos y especies autóctonas.
En España, concretamente en la provincia de Madrid se ha optado por usar técnicas de clonación, las cuales son diferentes según la especie, pero que se puede resumir como la extracción de un microtallo o una hoja que se esteriliza y se cultiva in vitro (en laboratorio con unos principios nutritivos y químicos determinados) hasta que se enraíza. Entonces esta pasa a un contenedor y una vez madurada podrá ser transplantada en el campo. Este nuevo olmo creado por la intervención biotecnológica será idéntico al olmo predecesor.
Ventajas e inconvenientes de la manipulación genética
La manipulación genética presenta una serie de ventajas, las cuales podemos dividirlas en mejoras en el proceso industrial, ventajas para los consumidores y
ventajas para el medio ambiente. Entre ellas las más destacables son:
La formación de cultivos más resistentes a los ataques de virus, hongos o insectos sin la necesidad de emplear productos químicos, lo que supone un ahorro económico y menor daño al medio ambiente.
El aumento de la producción, esto podría suponer el fin del hambre mundial.
El desarrollo de vacunas, antibióticos y terapias génicas.
La producción de enzimas que catalicen los procesos industriales.
La formación de nuevos materiales.
La incorporación de nuevos productos a la industria alimentaria, se puede lograr un mayor tiempo de conservación de frutas y verduras.
-La biotecnología puede ayudar a preservar la biodiversidad natural. Pero también puede contribuir a disminuirla.
Debido a la manipulación genética también existen numerosos riesgos como por ejemplo:
El riesgo de transferir toxinas de una forma de vida a otra, de crear nuevas toxinas o de transferir compuestos alérgicos de una especie a otra. También existe el riesgo de que bacterias y virus, modificados genéticamente, escapen de los laboratorios de alta seguridad e infecten a la población humana o animal.
Al monopolio, relacionado con la biotecnología, que ejercen empresas ubicadas en países industrializados, haciendo aumentar la dependencia tecnológica de los países más pobres con respecto a los ricos. Mientras un acceso a este recurso, en igualdad de condiciones, permitiría por ejemplo, una mejor distribución de alimentos. Para evitarlo se debe preservar el derecho de los pueblos a definir sus propias políticas y estrategias sostenibles de producción, distribución y consumo de alimentos.
A la pérdida de biodiversidad de plantas debido a las explotaciones de cultivos intensivos, frente a la mejora y conservación de cultivos autóctonos. Lo mismo cabe decir de la pérdida de biodiversidad animal que puede suponer la
sobreexplotación intensiva de animales, frente a la extensiva. Es destacable el caso del pollo, que manipulado genéticamente puede ser resistente a la gripe Aviar y un rápido productor de carne. Debemos tener presente que la biodiversidad es un valor al que es difícil poner precio, y por ello es tan frágil de romper.
Desde el punto de vista ético, cabe destacar que no son pocos los que han rechazado la modificación genética al considerar que el proceso no es natural ni necesario. Actualmente, no está claro el límite dónde termina el progreso ni cómo de lícito es manipular genéticamente a un individuo ni bajo qué tipo de condiciones es permisible realizarlo. Ahora bien, valorar las consecuencias del uso de las nuevas tecnologías no parece que deba ser una
tarea exclusiva de los gobiernos, implica una discusión más profunda por parte de la sociedad, pues a ella afecta directamente de una u otra manera. Se requiere un proceso de diálogo para establecer las normas que rijan esas actividades. El principio ético a seguir en cualquier aplicación de la terapia génica es el respeto básico por la dignidad humana. Por tanto deberá ser utilizada para beneficio de determinados pacientes, afectados de determinadas enfermedades. No debiendo aplicarse cada método para mejora genética de la humanidad. De modo que parece haber un consenso generalizado en considerar inaceptable la clonación humana con fines reproductivos, ya que violaría y eliminaría la individualidad natural de los seres humanos.
JIMENO A.; BALLESTEROS M.; UGEDO L.; MADRID M. A., (2008) Biología 2º
Bachillerato. Proyecto la casa del saber Ed. Santillana, 408p.
BALLESTEROS, J; FERNÁNDEZ RUIZ-GÁLVEZ, M.E. (2007). Biotecnología y
posthumanismo. Editorial Aranzadi.
GOTO, F. y cols. (1999). Nature Biotechnology, 17: 282-286
GRACE, E.S. (1998). La biotecnología al desnudo. (Promesas y realidades). Barcelona: Ed.Anagrama, 289p.
<http://www.gen-es.org/12_publicaciones/docs/pub_70_d.pdf>
<http://www.greenpeace.org/espana/es/Trabajamos-en/Transgenicos>
<http://www.ugr.es/~eianez/Biotecnologia/introbiotec.htm>
ZUBITXO ERREKA-LEZO RECUPERACIÓN AMBIENTAL
¿UTOPÍA O REALIDAD?
A.GARCÍA, I. RAMÍREZ, N. SÁNCHEZ y J.C. LIRAZAZU*
La Anunciata Ikastetxea, Camino de Lorete, 2. 20 017 Donostia-San Sebastián. lizarazujc@laanunciataikerketa.com
El municipio de Lezo se ve limitado al Norte por el monte Jaizkibel, al Oeste por el puerto de Pasaia, al Este por el alto de Gaintzurizketa y hacia el Sur por el río Oiartzun y la villa de Renteria. En todas estas fronteras se aprovecha de los accidentes geográficos como son los ríos, montes y la línea costera, para delimitar su jurisdicción municipal. Desde el alto de Jaizkibel descienden multitud de riachuelos y pequeños arroyos como Izostegi y Zubitxo, los cuales desembocaban en el río Oiartzun, en la zona del puerto, antiguo astillero, que ahora es una zona de carga y descarga de barcos mercantes.
Palabras clave: Río, análisis fisicoquímico y microbiológico.
(ZUBITXO ERREKA-LEZO ENVIRONMENTAL RECOVERY, UTOPIA OR REALITY?)
The stream Zubitxo located in the middle on the town, because of that, society and industries have affected it, e.g., the water contains industrial wastes and also wastes from the town. On the other side, according to the microbiological analysis, there are microorganisms that they can produce illnesses. Finally, the quality of landscape was analyzed. It’s quality us bad because it has rubbish and few varieties of vegetables.
Key words: River, analysis chemical, physique and microbiological.
Zubitxo erreka, al estar situado en el centro urbano de Lezo se ve afectado por la población e industrias de alrededor. Ya que se han encontrado vertidos de aguas residuales urbanas e industriales. Además de esto, según el análisis microbiológico, el agua contiene microorganismos de riesgo 2, que pueden producir enfermedades y al realizar los estudios relacionados con la calidad del paisaje se ha podido determinar que se encuentra en mal estado con gran presencia de basuras y escasa variedad de vegetación.
Tras formar el grupo de alumnas lo primero fue hacer una lluvia de ideas sobre qué temas a tratar en el trabajo, buscando temas actuales acordes con nuestro entorno y medio ambiente. A continuación se pasó a realizar la parte teórica, habiendo preparado de antemano los objetivos de este proyecto y los puntos principales a tratar.
En la parte teórica entraba la preparación de las fichas de campo (que se
![]()
* Profesor coordinador del trabajo
utilizaron para analizar los puntos de muestreo y la búsqueda de información sobre el río Zubitxo y sus alrededores.
Después de obtener toda la información necesaria se pasó a escoger los puntos de muestreo donde se iba a centrar el análisis, siendo estos:
Antes de pasar por Lezo.
Durante su paso por la localidad.
Después de pasar por Lezo.
Durante 7 semanas consecutivas se analizaron dichas aguas con algunas pruebas en el propio río, y otras pruebas se realizaron en el laboratorio
Para llevar a cabo la valoración del lugar se van a recoger datos acerca de: Descripción del medio (infraestructuras, canalización, presas, etc.), características físicas del agua (olor, color, presencia de grasas, aceites, peces muertos, turbidez, alteraciones del cauce, etc.), residuos de gran y de pequeño tamaño, envases, latas, bolsas de plástico y similares, patrimonio cultural del entorno, turbidez y temperatura del agua, medida de la anchura y profundidad del río, velocidad del agua.
53
Las pruebas químicas del agua realizadas en cada punto de muestreo son: nitratos (NO3-), nitritos (NO2-), dureza de carbonatos (KH), pH, oxígeno disuelto
(O2), color, olor, espuma, temperatura, velocidad y caudal.
Las pruebas realizadas en el laboratorio son: fosfatos, oxígeno disuelto, Nitratos (NO3-), Nitritos (NO2-).
Se buscó, además, la presencia de materia orgánica mediante dos métodos: permanganato potásico, azul de metileno.
También se realizaron cultivos microbiológicos para determinar la calidad microbiológica del agua del río en los diferentes puntos y así poder contrastar con otras pruebas físicas, químicas y biológicas con el fin último de conocer las causas de la situación actual de Zubitxo Erreka.
Obtenidos todos los datos de las siguientes investigaciones y definidas las mismas según los apartados establecidos, se pasó a la elaboración de tablas y gráficas para crear posteriores comentarios de la realidad y las conclusiones que encaminarán a establecer posibles soluciones de mejora de la calidad ambiental del río y por supuesto, de la calidad de vida de los ciudadanos.
De está forma se podrá saber si la hipótesis inicial entorno a la posible recuperación ambiental de Zubitxo Erreka
muestreo analizados. Por tanto a simple vista todos los puntos son adecuados para que los seres vivos se puedan desarrollar en el agua de esas áreas.
El nitrato es esencial para el crecimiento de las plantas. Por tanto, en los puntos de muestreo analizados (figura 2), hay un bajo nivel de crecimiento vegetal ya que el valor de los NO2- está por debajo del valor suficiente, en torno a los 100 mg/l. Ahora bien, la vida animal no se va a haber afectada.

mg/l
El exceso de amoniaco en los sistemas acuáticos provoca alteraciones en el metabolismo de los organismos. Como se puede ver en la figura 3, hay dos puntos de muestreo de los cinco analizados con un índice de amonio adecuado, ya que no superan el límite que se encuentra en 0,1 mg/l. En los otros tres el límite se supera, lo cual quiere decir que, ese índice de amonio provoca alteraciones en el metabolismo de los organismos. Según estos datos los puntos 1, 2 y 4 no son adecuados para la vida ya que indica cierta contaminación, tal vez debida a la materia orgánica.
Oxigeno
15
10
5
es una utopía o una realidad que se puede
llevar acabo a corto o medio plazo.
Tras tener toda la información necesaria para crear el trabajo, se hizo un primer borrador, y una vez obtenido el visto bueno del coordinador se editó obteniendo un ejemplar en soporte papel y por supuesto también en soporte digital.
Calidad del agua
mg/l
Una concentración de oxígeno disuelto por debajo de 5 mg/l repercute negativamente sobre los organismos que dependen del oxígeno para vivir. En la figura 1 se ve cómo el oxígeno de los puntos analizados es el correcto para que el agua sea óptima para la vida, ya que oscilan desde 8,01 hasta 10,87, habiendo muy poca diferencia entre los distintos puntos de
0
![]()
mg/l
1 2 3 4 5 Puntos

Nitrato
![]()
30
20
10
0
1 2 3 4 5 Puntos
Figura 1. Niveles de oxígeno.

![]()
Amonio
![]()
1
0,8
0,6
0,4
0,2
0
1 2 3 4 5 Puntos
Figura 2. Niveles de nitrato.
Figura 3. Niveles de amonio.
El único punto en el que casi no aparece el fosfato es el punto 5. Sin embargo, en los puntos de muestreo 1 y 2 es en los que más presencia de fosfatos hay, indicando que tal vez se produzcan vertidos de detergentes. Por tanto a la vista de los resultados del amonio y de fosfato ya se puede decir que los puntos 1 y 2 reciben aguas residuales urbanas que provocan cierta contaminación y que ésta va a impedir el desarrollo de vida animal y vegetal. La presencia de fosfato en el punto 3 puede ser debida a fertilizantes empleados en el campo.
La presencia de cloro en Lezo puede ser debida a los vertidos de aguas potables, bien procedente de fuentes públicas o procedentes de aguas residuales. Así en la figura 4 se ve que prácticamente presentan 0 mg/l de cloro los puntos 3 y 5. Los otros tres puntos, presentan entre 0,7 mg/l y 0,8 mg/l, indicando que hay presencia de vertidos de aguas potabilizadas con cloro.
Los niveles superiores a 0,5 mg/l de nitrito son tóxicos.
![]()
1
0,8
0,6
0,4
0,2
0
1 2 3 4 5 Puntos
En la figura 5 se puede observar que en los puntos de muestreo 3, 4 y 5 no se supera la barrera entre el buen estado del agua o el agua tóxica, ya que los niveles son inferiores a 0,5 mg/l. En el punto de muestreo 2, se supera la barrera, lo cual quiere decir que el agua es ligeramente tóxica. El punto de muestreo 1 se encuentra rozando el límite dentro de la barrera del agua en buen estado.
Cloro
![]()
![]()
0,8
0,6
0,4
0,2
0
1 2 3 4 5 Puntos
mg/l
mg/l
Figura 4. Niveles de cloro.
Nitrito
![]()
Figura 5. Niveles de nitrito.
De nuevo se confirma que los puntos 1 y
2 reciben vertidos de aguas residuales urbanas que generan contaminación. Respecto al punto 4 citar que los niveles de NO2- están por debajo del límite pero si existe presencia de color y amonio, por tanto, también hay cierta contaminación por
aguas residuales urbanas en este punto aunque en este caso la cantidad de vertidos es muy inferior a la de los puntos 1 y 2.
Por último los puntos 3 y 5 se pueden considerar libres de contaminación y por tanto adecuados para el desarrollo de la vida animal y vegetal en el ecosistema acuático
En la tabla 1 se puede observar que en todos los puntos hay presencia de coniformes
Tabla 1. Resultados de los coniformes del agua. + Coliformes positivo. -Coliformes negativo. * Indol positivo. x E.coli, prueba UV positivo
Puntos de muestreo | |||||||||||||||
1 | 2 | 3 | 4 | 5 | |||||||||||
17/12/09 | + | x | * | ||||||||||||
22/12/09 | + | x | + | x | + | x | + | x | + | x | |||||
29/12/09 | + | x | + | x | + | x | + | x | + | x | |||||
05/01/10 | + | x | + | x | + | x | + | x | + | x | |||||
14/01/10 | + | x | * | + | x | * | + | x | * | + | x | * | - | ||
21/01/10 | + | x | * | + | x | * | + | x | * | + | x | * | + | x | * |
28/01/10 | + | x | * | + | x | * | + | x | * | + | x | * | + | x | * |
Como prueba de confirmación de E.coli efectuamos la prueba del Indol, la aparición de un anillo rojo en la parte superior confirmó la presencia de E.coli.
EMB Levine
En la figura 6 se observa como en el primer punto aparece un gran cambio el último día del análisis, esto puede deberse a los vertidos procedentes de la tubería próxima con carga de microorganismos.
El punto número 2, también han obtenido malos resultados, sobre todo el primer día del muestreo siendo 4 y 5 superiores al resto de los días. Este punto está en medio del pueblo y cerca de una pequeña zona industrial.
En el resto de los puntos de muestreo los resultados mejoran, como se puede ver en el punto 4 y 5, en donde los Ufc/ml está
1 2 3 4 5
Ufc/ml
3500
3000
2500
2000
1500
1000
500
0
Puntos

17 /12/2009
29 /12/2009
14 /01/2010
28 /01/2010
El punto 4 está situado en un parque rodeado de casas, es por ello que se puede llegar a la conclusión de que estos microorganismos pueden deberse a los vertidos de los hogares de los ciudadanos, ya que se observa alguna pequeña tubería que vierte directamente al cauce.
El punto 5 es el menos afectado por estos microorganismos, este no este no esta sometido a ningún tipo de vertidos. Aquí
Figura 6. Resultados obtenidos en las placas EMB Levine en diferentes días.
por debajo de las 250 Ufc/ml salvo el tercer día que presenta el mayor nº de enterobacterias/ml en el punto número 5 tal vez debido a unos vertidos puntuales de pequeñas granjas de los alrededores aprovechando la climatología desfavorable de día previos y del mismo día del vertido.
De todas formas, en el punto 5, los resultados han sido buenos, por lo que es uno de los más limpios de los analizados.
McConkey
La figura 7 muestra unos resultados de Ufc/ml como para que esa agua se pueda utilizar o manipular. Los puntos más afectados son el 1 y 2, teniendo en cuenta que estos puntos están colocados a lo largo del recorrido del río el pueblo se puede decir que esto puede deberse a la contaminación ocasionada por las industrias y por los vertidos de aguas residuales urbanas puntuales.

Ufc/ml
En el punto 3 los Ufc/ml son más bien bajos salvo el último día de la investigación, tal vez por vertidos de aguas residuales de los caseríos de alrededor en momentos previos al análisis. De hecho algunos caseríos vierten directamente al cauce.
3000
2500
2000
1500
1000
500
0
17/12/2009
29/12/2009
14/01/2010
28/01/2010
1
2 3
Puntos
4 5
Figura 7. Datos obtenidos en las placas McConkey en varios días.
los Ufc/ml son prácticamente inexistentes el día de los análisis, y el agua está en buenas condiciones y sin peligro para su manipulación.
![]()
VRBG Agar

Ufc/ml
En la figura 8 se puede observar en el primer punto una cantidad muy alta en el último día, al igual que ha ocurrido en el medio de cultivo de McConkey. Está claro que es consecuencia de los vertidos de aguas residuales urbanas.
3000
2500
2000
1500
1000
500
0
17/12/2009
29/12/2009
14/01/2010
28/01/2010
1 2 3 4 5
Puntos
Figura 8. Resultados obtenidos en las placas VRBG Agar en diferentes días.
Los resultados obtenidos son todos similares, excepto los del último día que la cantidad de Ufc/ml dobla a los demás días.
En el otro externo, en cuanto a datos está punto 5 con unos Ufc/ml mínimos que nos indican la ausencia de actividad microbiológica en el agua, y por tanto, una calidad del agua en cierta medida destacable para su posible uso.
Respecto al resto de los puntos del estudio, nuevamente en el punto 2 se encuentra un carga contaminante microbiana considerable por lo que cada vez se puede corroborar que se producen vertidos que afectan a la calidad del agua.
![]()
TCBS
En base a los resultados (figura 9) el tercer día, en el que se cogió agua en todos los puntos, aumenta la cantidad de este tipo de microorganismos, este día, así como los días previos, hubo precipitaciones en abundancia, lo que pudo provocar que hubiera muchos más vertidos en los puntos analizados y/o que las aguas pluviales también arrastraran microorganismos existentes en el suelo.

17/12/2009 29/12/2009 14/01/2010 28/01/2010 | |||||||||||
40
35
30
Ufc/ml
25
20
15
10
5
0
1 2 3 4 5 Puntos
Figura 9. Resultados obtenidos en las placas TCBS en los días analizados.
Los puntos 1 y 2 son los peores una vez más, teniendo en cuenta que la erreka se encuentra en un área industrializada y urbana se puede llegar a la conclusión de que esto se debe, a vertidos.
Los resultados de los puntos 3 y 5, han sido buenos, excepto el día que hubo un exceso de precipitaciones. Estos puntos están situados en áreas rurales por tanto, estos resultados pueden ser a consecuencia de que no haya vertidos o que son puntuales.
Los datos del punto 4 son preocupantes por que el tercer día del análisis los Ufc/ml fueron algo mayores que el resto de los otros días consecuencia de la climatología, como ya se ha comentado.
Puntos de muestreo | |||||
1 | 2 | 3 | 4 | 5 | |
Agrícola | X | X | |||
Ganadero | |||||
Urbano | X | X | X | X | |
Recreo | X | X | |||
Industrial | X | X | X | ||
Zona degradada | X | ||||
Zona en estado natural | X | ||||
Infraestructuras | X | X | X | X | |
Otros | |||||
Tabla 2. Usos del terreno en el entorno de los diferentes puntos de muestreo.
Principales usos del entorno (tabla 2)
El punto 1 presenta zonas urbanas, industriales e infraestructuras, es una zona degradada donde el punto de vista natural al ser un ejemplo de un ecosistema urbano.
El punto 2 presenta zonas también urbanas, industriales e infraestructuras; pero también hay presencia de zonas de recreo, no es una zona tan degradada como el punto 1, pero sigue siendo un ecosistema urbano.
En el punto 3 se observan zonas agrícolas, urbanas, industriales e infraestructuras, lo que muestra un entorno no tan abarrotado de construcciones como los dos anteriores analizados. La presencia de zonas urbanas, de recreo e infraestructuras es notable en el punto 4, lo que puede crear alteraciones en el entorno al punto de muestreo analizado. Aquí el ecosistema fluvial existe pero transformado ya que la vegetación de los márgenes es claramente artificial (plantado) y la presencia de viviendas también le da un aspecto urbano al entorno.
Por último, el punto 5 no presenta ni zonas urbanas, ni industriales, ni infraestructuras. Este punto solo muestra zonas agrícolas, lo cual nos indica que es el único punto con una zona en estado natural, aunque el ecosistema fluvial de los márgenes es muy poco presente, pero el aspecto general es de un ecosistema natural.
El estudio del entorno nos puede indicar que clase de vertidos pueden ser los causantes del estado de las aguas analizadas; por ejemplo, sería muy fácil encontrar restos agrícolas en los puntos 3 y 5, mientras que en los puntos 1, 2 y 4 sería más normal encontrar restos de vertidos urbanos.
En la tabla 3 se puede observar que ninguno de los puntos presenta presas. Este dato es destacable ya que supone la ausencia de barreras para la fauna.
Por otra parte, ni el punto 3 ni el punto 5 presentan ningún tipo de canalización, mientras que los puntos 1 y 2 presentan canalización total, por tanto, en los 2 márgenes y el punto 4 solo presenta canalización parcial, es decir, en un margen.
1 | 2 | 3 | 4 | 5 | ||
Presa | Sí, con canal | |||||
Sí, sin canal | ||||||
No | X | X | X | X | X | |
Canalización | Total | X | X | |||
Parcial | X | |||||
No | X | X | ||||
Tipo de canalización | Escollera | |||||
Pared | X | X | X | |||
Edificio/Fábrica | ||||||
Tabla 3. Alteraciones del río.
El hombre ha intervenido creando estructuras artificiales, alterando así el estado natural de los puntos analizados.
Teniendo en cuenta estos parámetros, se observa que la calidad del agua se encuentra en bastante buen estado (tabla 4).
Tabla 4. Parámetros físicos de Zubitxo Erreka.
1 | 2 | 3 | 4 | 5 | ||
Mal olor | NO | SI | NO | NO | NO | |
Espumas | NO | NO | SI | NO | NO | |
Aceites, grasas | NO | SI | NO | NO | NO | |
Eutrofización | NO | NO | NO | NO | NO | |
Peces muertos | NO | NO | NO | NO | NO | |
Tuberías | Sí, vierte | X | ||||
Sí, no vierte | X | X | ||||
No | X | X | ||||
En el punto 1 no se observan ni malos olores, ni espumas, ni aceites, ni eutrofización, ni peces muertos. Pero sí se observan tuberías, las cuales vierten de una manera habitual líquidos al cauce de Zubitxo Erreka.
En el punto 2 no se observa ni espuma, ni eutrofización, ni peces muertos. Pero sí se observa mal olor y aceites y grasas.
Esto nos indica que hay presencia de residuos urbanos, también hay presencia de tuberías, pero no los vierten.
El punto 3 solo presenta ligeras espumas. Tampoco tiene ninguna tubería en el entorno, por lo que la espuma puede ser consecuencia del uso de fertilizantes en la zona rural.
El punto 4 tampoco presenta ni mal olor, ni espumas, ni aceites, ni eutrofización, ni peces muertos. Hay presencia de una tubería, pero solo vierte los días de lluvia.
El punto 5 es el que mejor calidad física tiene. No hay presencia ni de mal olor, ni de espumas, ni de aceites, ni de eutrofización, ni de peces muertos. Tampoco hay presencia de ninguna tubería en el entorno. Es una zona rural en las laderas del monte Jaizkibel.
En los puntos 1 y 2 la calidad del paisaje cabe calificarla como baja. Su morfología es de suaves colinas, llanuras, etc., sin elementos destacables. Respecto a la vegetación decir que tiene una variedad muy escasa. Se trata de un paisaje muy común en la región, sobre todo en zona urbana sin características particulares.
Respecto a la acción humana hay presencia de abundantes elementos construidos, como urbanizaciones, infraestructuras, etc., sin tener en cuenta como debería de ser un espacio natural.
Por último, la situación del patrimonio cultural es deficiente.
Este punto es uno de los 2 que peor calidad del paisaje presenta.
El punto 3 tiene una calidad del paisaje media, con un relieve de formas y de tamaños diversos, una vegetación con varias especies vegetales, aunque son plantaciones y el color del paisaje presenta un grado medio de variedad al combinar masas forestales y prados – huertas. No hay ninguna presa, canalización o usos inadecuados de estos. La acción humana destaca por la presencia de elementos construidos sin tener en cuenta el entorno (pequeñas industrias y urbanizaciones e infraestructuras) y la situación del patrimonio cultural es deficiente, a pesar de encontrarse algún caserío.
En el punto 4 la calidad del paisaje es baja. Uno de los factores que afecta es la morfología, ya que presenta suaves colinas, llanuras, etc., sin elementos destacables. La vegetación presenta muy pocas especies vegetales y el color del paisaje no presenta contrastes armoniosos y son apagados, con escasa variedad. En el río se aprecia una pequeña pared de contención en uno de los márgenes. Hay presencia de vías de escaso impacto ambiental, tales como camino o senderos y un pequeño puente y no existe patrimonio cultural en esta área.
Finalmente, el punto 5 presenta una calidad del paisaje media, aún así, es el
punto que mejor calidad del paisaje presenta. El relieve es de formas y tamaños diversos, con ligeras pendientes en los alrededores y la vegetación muestra la presencia de varias especies. El grado de variedad de colores y contrastes es intermedio y es un paisaje característico sin alteraciones. Hay presencia de caminos o senderos que permiten acceder a las huertas de los alrededores y al monte Jaizkibel y como patrimonio cultural existe, en las proximidades, un calero denominado Calero Buztintxulogana.
El agua no presenta alta concentración de sales de calcio y magnesio.
La cantidad de oxígeno en el agua es óptima para la vida.
Hay entradas de fertilizantes o detergentes pudiendo causar eutrofización en las aguas de todos los puntos, menos en el 5.
En los puntos 1, 2 y 4 la presencia de amoniaco en los sistemas acuáticos provoca alteraciones en el metabolismo de los organismos.
Existen vertidos de aguas potables en los puntos 1, 2 y 4.
Hay presencia de materia orgánica en los puntos 1 y 2, por vertidos de aguas residuales urbanas.
La temperatura tiene valores normales, por lo que podría permitir la vida piscícola. El río al estar en un área urbanizada, los humanos lo han adecuado de tal manera que no obstaculice, como por ejemplo, con paredes para que no se salga de su cauce. El entorno que rodea este ecosistema tiene una gran influencia negativa en el río y en sus alrededores, ya que esta totalmente industrializado y urbanizado.
La calidad del agua desde el punto de vista físico químico se encuentra en mal estado, por tanto se dan condiciones adecuadas para que existan microorganismos con cierta repercusión negativa para los humanos. (figuras 6, 7, 8
y 9).
Los vertidos producidos por tuberías en los puntos 1 y 2 muestran un aumento de microorganismos. (figuras 6 y 7
La presencia de estos microorganismos puede traer grave consecuencias en humanos, al manipular dicho agua ya que
puede ocasionar enfermedades, como por ejemplo, gastroenteritis o cólera.
Después de realizar el estudio de agua se ha determinado que el agua puede contener Enterobacterias, Escherichia coli, Salmonella typhimurium, Pseudomonas aeruginosa, Vibrio cholerae y Vibrio parahaemolyticus.
Todos los grupos de microorganismos obtenidos son de riesgo 2 según la ley vigente.
Cualquier contacto con el agua produce el riesgo de contraer enfermedades o transmitirlas.
Este riesgo se puede producir simplemente con el contacto de elementos, seres o objetos que previamente han estado en contacto con esa agua o haya tenido algún tipo de relación con el agua.
Los medios de cultivo McConkey y VRBG (figuras 6 y 8) muestran la existencia de Coliformes en el agua, pero McConkey también determina la presencia de Salmonella.
Con el ultimo TCBS se ha llegado a la conclusión de que en el agua se pueden encontrar Vibrio cholerae, Vibrio parahaemolyticus y Escherichia coli en todos los puntos, pero su presencia es mínima (figura 9).
El aumento de Ufc/ml en el punto 1 y 2 del río puede deberse a los vertidos de aguas residuales urbanas directamente al cauce y que, por supuesto, no están conectados a las redes de saneamiento.
Los puntos 3 y 5 son los que presentan mejores condiciones microbiológicos del agua, lo que demuestra la ausencia de vertidos a su alrededor.
Existe algún vertido puntual y de poca intensidad en el punto 3 debido a los caseríos de la zona.
La presencia de una pequeña barriada en el punto 4 influye a la calidad microbiológica del agua.
La calidad física del agua está en bastante buen estado.
Tras realizar el estudio de Zubitxo- erreka y comprobar cual es su estado, se proponen una serie de soluciones para la posible mejora de éste:
Ya que, la presencia de microorganismos de riesgo 1 y 2 pueden
causar enfermedades en el ser vivo, se deben tomar medidas de precaución a la hora de manipular el agua o cualquier objeto que haya estado en contacto con él, para evitarlos.
Hay que realizar una limpieza y regeneración de los puntos 1 y 2 con gran eficacia, ya que son zonas dentro del casco urbano y a las cuales se puede originar un continuo contacto.
Control exhaustivo y periódico de la calidad del agua de Zubitxo-erreka, sobre todo en el punto 1 y 2, para mejor esta calidad y evitar que el deterioro sea mayor.
Desarrollar un plan de saneamiento especifico para Zubitxo-erreka, sobre todo el tramo entre los puntos 1 y 2; incluyendo las tuberías que hay en ellos para evitar las aguas residuales urbanas e industriales que se vierten al río.
Proteger el río y sus alrededores, de manera que no se realicen más canalizaciones ni se efectúen vertidos.
Regeneración de las riberas mediante el diseño de canalizaciones naturales y no muros totalmente artificiales.
El río carece de vida, excepto en el punto 1, por tanto habría que encontrar la manera de que pudiera haber vida, primeramente habría que eliminar los vertidos arrojados al agua y a continuación desarrollar proyector para llevar a cabo la repoblación del ecosistema.
Desarrollar campañas de sensibilización y concienciación entre la población de Lezo y alrededores. Estas campañas deben ir dirigidas a todos los grupos de la población, desde los más pequeños a los más mayores, pero siempre con el mismo objetivo
Queremos dar las gracias a nuestro coordinador y profesor de Biología de La Anunciata Ikastetxea, Juan Carlos Lizarazu, por todas las orientaciones que nos ha dado así como por la ayuda a la hora de la realización del trabajo de campo y de laboratorio y el apoyo moral en momentos de estrés a lo largo del trabajo.
“Educación Ambiental sobre ríos 96”. Ibialde. CEIDA. Eusko Jaurlaritza-Gobierno Vasco. 8-9. OLIVE DAVÓ; ORTEGA RUIZ; PASCUAL MUÑOZ; PORTERO GARCÍA; SALAZAR
RINCÓN. Enero de 1992. Puntos de interés geológico de Guipúzcoa. 102-104.
<http://civil.udg.es/normacivil/estatal/reals/LAguas.htm>
<http://club.telepolis.com/geografo/regional/espa/eusrios.htm>
<http://usuarios.lycos.es/rioseneuskadi/rios/rios_index.htm>
LEZOKO EKOLOGI TALDEA. “Lezoko aldizkaria” 1994-1995, 13. Ataza (Ekologia). 59-61 y 63-64.
<www.analizacalidad.com/paragua.htm>
<www.antibioticoterapia.com/modules.php?name=News&file=article&sid=565&>
<www.gipuzkoa.net/~lezo/web/castellano/primera.htm>
<www.lablinsan.cl/imagenes_ficha_3/fichasWeb3_6.pdf>
<www.lezo.net/files/u347/P4271081.JPG>
<www.monografias.com/trabajos16/parametros-agua/parametros-agua.shtml>
ZUMALDE; MERINO; VIERA; ELORZA; RIOFRIO; ZURUTUTZA; ETXEZURIETA;
UGALDE; LIZARAZU; AGUIRRETXE. “Guía de Lezo”. Lezoko Unibertsitateko Udala y Sociedad de Ciencias.
C. CALVINO, A. HERNÁNDEZ, L. JESÚS, G. JIMÉNEZ, C. LAPUERTA, R. MONTERO, L. MORUJO,
E. PÁMPANO, S. PICADO, L. TERCERO, I. CRUZ, B. SÁNCHEZ, N. ROLDÁN y F. VENEGAS* IES Joaquín Sama. Avd. de las Laudas, s/n. 06 500 San Vicente de Alcántara (Badajoz)
El presente trabajo surge por la necesidad de abordar ciertas propiedades y aplicaciones del número áureo, pues constituye un concepto matemático ligado al medio natural. La actividad de investigación propuesta tiene como objetivo estudiar la presencia de este número irracional en diferentes elementos geométricos de notables especies integrantes de la flora vascular mediterránea. Los resultados obtenidos ponen de manifiesto el papel significativo de la razón áurea para optimizar el comportamiento, la estructura y el crecimiento de las especies vegetales estudiadas, en clara alusión a las proporciones armónicas en la naturaleza.
Palabras clave: Matemáticas, teoría de las proporciones, cuenca mediterránea.
(PRESENCE OF GOLDEN NUMBER IN THE GEOMETRY OF CHARACTERISTIC SPECIES OF MEDITERRANEAN VASCULAR FLORA)
This paper arises from the need to approach certain properties and applications of the golden number, since it is a mathematical concept closely linked to the natural environment. The proposed research activity aims to study the presence of this known irrational number in different geometric elements of characteristic species of the mediterranean vascular flora. Our results show the significant role of golden ratio to optimize the behaviour, structure and growth of studied plant species, a clear reference to the harmonic proportions in nature.
Key words: Mathematics, proportions theory, mediterranean basin.
A menudo las Matemáticas se abordan como ciencia demasiado teórica y abstracta, con escasas aplicaciones en la vida real. Si bien, a pesar de su carácter evidente de complejidad, la enseñanza matemática en general, y las nociones geométricas en particular, requieren un tratamiento desde una perspectiva puramente práctica e interdependiente de la realidad que nos rodea (BARROW, 1997; ALSINA, 1998).
De hecho, la propia Geometría ofrece el lugar natural para desarrollar buena parte del razonamiento lógico-abstracto y, por tanto, conocer la estructura axiomática del conocimiento matemático (STEEN, 1998).
Hoy en día, es indiscutible la trascendencia de los procedimientos geométricos, tanto en estudios posteriores de cualquier disciplina científica como en la adquisición de determinadas habilidades y destrezas cotidianas (CORBALÁN, 2007).
![]()
* Profesor coordinador del trabajo
Incluso, resulta difícil imaginar contextos donde no aparezcan implicadas ciertas conexiones geométricas, ya sea de forma directa o indirecta (KASNER y NEWMAN, 2007).
Sin embargo, recientes resultados didácticos para la etapa educativa de Secundaria revelan un estancamiento del aprendizaje geométrico de nuestros alumnos, siendo un bloque de contenidos con resultados deficientes dentro de la disciplina matemática. Se manifiesta entonces el notable dominio que ejerce el campo de la aritmética, no sólo sobre la geometría, también sobre otras ramas de la ciencia matemática a nivel elemental (MIRANDA et al., 1998; JIMENO, 2006).
En consecuencia, asistimos a la aritmetización de la geometría, al limitarse la enseñanza de la misma al simple manejo inconsciente de fórmulas justificadoras del entramado geométrico básico. Cabe
61
destacar, entre otras carencias, un llamativo estado de inseguridad para establecer relaciones intrafigurales con elementos geométricos diversos. La constatación de tales dificultades obliga a preguntarse acerca de las posibles causas que las originan y conducen a esta apurada situación.
Ante este contexto de evidente déficit en cuanto al aprendizaje de la Geometría, el presente trabajo ofrece ciertas ideas creativas sobre aplicaciones didácticas del número áureo en el área de Matemáticas, a través de actividades diseñadas especialmente para el alumnado de Secundaria.
En la actualidad, la razón áurea presenta una amplia colección de aplicaciones en escenarios muy diversos (LIVIO, 2006; CORBALÁN, 2010), cuyo estudio riguroso excede la profundidad razonable de este trabajo. Con el fin de acotar la temática, la propuesta didáctica en cuestión aparece
directamente asociada al campo de las Ciencias de la Naturaleza, dadas las
en torno al concepto matemático de razón áurea.
El número áureo (), también conocido como razón áurea, constituye uno de los conceptos matemáticos ligado una y otra vez a la naturaleza y a lo más significativo de la obra humana, compitiendo con el número en popularidad y aplicaciones para resolver problemas en ramas diversas de la matemática, así como en diferentes situaciones de la vida cotidiana.
De acuerdo con su origen geométrico, () queda definido del siguiente modo:
“Se dice que un segmento cualquiera está dividido en razón áurea, si está dividido en dos partes tales que la longitud total a+b es al segmento más largo a, como a es al segmento más corto b”.
![]()
a b a b a
numerosas manifestaciones de la razón áurea descubiertas en el medio natural (OLSEN, 2006).
En concreto, la actividad de investigación aquí desarrollada pretende
analizar la presencia significativa de
![]()
a + b
a b
relaciones áureas entre la nervadura de las hojas de especies características de la flora vascular mediterránea (VENEGAS, 2010), sin entrar a detallar aspectos matemáticos más complejos, propios de otros estudios. Así, se pretende dar a conocer una visión más cercana de este número irracional como recurso didáctico en el aula de Secundaria, de manera que sus aplicaciones sean fuente de motivación, estimulen el aprendizaje por descubrimiento y, entonces,
Matemáticamente, el valor numérico de
se obtiene operando a partir de la expresión anterior.
a
![]()
Si hacemos x , resulta la
b
![]()
ecuación: 1 1 x . Luego, x2 x 1 0 .
x
Utilizando la fórmula general para ecuaciones de segundo grado, con a 0 y b 0 , se deduce que:
despierten curiosidad por la realidad más próxima del alumno.
a
![]()
x
b
![]()
1 5
2
1,61803...
Si bien la naturaleza ha encontrado en la razón áurea la respuesta para optimizar tanto el comportamiento como la estructura y el crecimiento de numerosos organismos vivos, conviene introducir algunas nociones
Llegados a este punto, y con el medio natural extremeño como marco general, la metodología planteada consiste en analizar la presencia de la razón áurea entre la nervadura de las hojas de algunas especies de porte arbóreo y/o arbustivo
características de la singularidad florística de la Cuenca Mediterránea. Para ello, dada una pequeña muestra representativa (10 hojas para cada especie), los alumnos deben caracterizar desde un punto de vista matemático la estructura geométrica de las hojas, medir las relaciones entre su nervadura y, luego, analizar el grado de aproximación a la razón áurea.
Partiendo del convencimiento de que la educación matemática debe ofrecer situaciones propicias para despertar curiosidad por la realidad más cercana del alumno, la actividad diseñada sugiere nueve taxones cuya presencia y abundancia resultan relevantes en el ámbito de la riqueza florística de la zona de estudio.
A continuación se muestran aquellos taxones susceptibles de análisis respecto a la geometría de las hojas según el número áureo. No obstante, somos conscientes de que un trabajo de este tipo nunca se considera acabado y perfecto, a sabiendas de que la solución propuesta para cada especie no es la única, dependiendo entonces del proceso de cálculo empleado en cada caso. Por tanto, sus resultados no se pueden considerar definitivos ni excluyentes.
En las figuras que siguen obsérvense las relaciones áureas existentes entre la nervadura de las hojas estudiadas
Nombre científico | Quercus robur L. |
Familia | FAGACEAE |
Nombre común | Roble carvallo |
Disposición en el tallo | Alternas |
Inserción en el tallo | Peciolada |
Base foliar | Atenuada |
Margen foliar | Pinnatífida |
Contorno foliar | Oblongo-obovada |
Nerviación | Pinnatinervia |
Tipo de hojas
Nombre científico | Quercus suber L. |
Familia | FAGACEAE |
Nombre común | Alcornoque |
Tipo de hojas

Figura 1. Hoja de

Quercus robur L
Disposición en el tallo | Alternas |
Inserción en el tallo | Peciolada |
Base foliar | Redondeada |
Margen foliar | Ondulada |
Contorno foliar | Lanceolado-oblonga |
Nerviación | Pinnatinervia |
Figura 2. Hoja de
Quercus suber L
Nombre científico | Castanea sativa Mill. |
Familia | FAGACEAE |
Nombre común | Castaño |
Disposición en el tallo | Alternas | |
Inserción en el tallo | Peciolada | |
Base foliar | Redondeada | |
Margen foliar | Aserrada | |
Contorno foliar | Lanceolado-oblonga | |
Nerviación | Paralelinervia | |
Tipo de hojas
Nombre científico | Ulmus minor Mill. |
Familia | ULMACEAE |
Nombre común | Olmo común |
Tipo de hojas

Figura 3. Hoja de Castanea sativa Mill.

Disposición en el tallo | Alternas |
Inserción en el tallo | Peciolada |
Base foliar | Asimétrica |
Margen foliar | Doblemente aserrada |
Contorno foliar | Ovada y acuminada |
Nerviación | Pinnatinervia |
Figura 4. Hoja de
Ulmus minor Mill.
Nombre científico | Ficus carica L. |
Familia | MORACEAE |
Nombre común | Higuera |

Tipo de hojas
Disposición en el tallo | Alternas |
Inserción en el tallo | Peciolada |
Base foliar | Auriculada |
Margen foliar | Sinuado-dentada |
Contorno foliar | Lóbulo-palmeada |
Nerviación | Palmatinervia |
Figura 5. Hoja de
Ficus carica L.
Nombre científico | Arbutus unedo L. |
Familia | ERICACEAE |
Nombre común | Madroño |

Tipo de hojas
Disposición en el tallo | Alternas |
Inserción en el tallo | Peciolada |
Base foliar | Aguda |
Margen foliar | Aserrada |
Contorno foliar | Lanceolada |
Nerviación | Pinnatinervia |
Figura 6. Hoja de
Arbutus unedo L.
Nombre científico | Corylus avellana L. |
Familia | BETULACEAE |
Nombre común | Avellano |
Tipo de hojas

Disposición en el tallo | Alternas |
Inserción en el tallo | Peciolada |
Base foliar | Cordada |
Margen foliar | Doblemente aserrada |
Contorno foliar | Orbicular |
Nerviación | Pinnatinervia |
Figura 7. Hoja de Corylus avellana L.
Nombre científico | Juglans regia L. |
Familia | JUGLANDACEAE |
Nombre común | Nogal |

Tipo de hojas
Disposición en el tallo | Alternas |
Limbo foliar | Imparipinnada |
Base foliar | Atenuada |
Margen foliar | Entera |
Contorno foliar | Obovada |
Nerviación | Pinnatinervia |
Figura 8. Hoja de
Juglans regia L.
Nombre científico | Ceratonia siliqua L. |
Familia | CAESALPINACEAE |
Nombre común | Algarrobo |

Tipo de hojas
Disposición en el tallo | Alternas |
Limbo foliar | Paripinnada |
Base foliar | Atenuada |
Margen foliar | Entera |
Contorno foliar | Obovada |
Nerviación | Pinnatinervia |
Figura 8. Hoja de
Ceratonia siliqua L.
Con cierta frecuencia, dado el carácter trivial de los patrones analizados, la presencia de la proporción áurea en las formas y dimensiones vegetales puede parecer más forzada que natural. Sin embargo, los resultados obtenidos al respecto evidencian el papel significativo del número áureo como elemento rector determinante de la morfología en diferentes elementos geométricos de especies notables de la flora vascular mediterránea, en clara alusión a las proporciones armónicas en la naturaleza (GHYKA, 2006).
Adicionalmente, la posibilidad de caracterizar matemáticamente la estructura de tales elementos geométricos ofrece potencialmente nuevas posibilidades analíticas, de aplicación inmediata en estudios conjuntos de botánicos y matemáticos, quienes complementan de este modo sus investigaciones.
Con todo, el presente trabajo supone la superación de una asignatura pendiente, pues aborda la transferencia de contenidos interdisciplinares ligados a las propiedades
matemáticas de la razón áurea. En atención a lo expuesto, por tanto, se comprende mejor la admiración que siempre ha despertado este invariante algebraico, logrando entonces una fructífera interacción entre la educación matemática en la etapa de Secundaria y el conocimiento del medio natural.
Los autores agradecen sinceramente el apoyo prestado en todo momento por Pedro Benítez Álvarez y Montaña Galán Mirón, ambos profesores de Biología y Geología del I.E.S. Joaquín Sama, al haber facilitado el camino para llevar a cabo este trabajo con los alumnos.
ALSINA, C. (1998), Enseñar matemáticas, Barcelona: Graó, 227p.
BARROW, J. (1997), ¿Por qué el mundo es matemático?, Barcelona: Grijalbo, 137p. CORBALÁN, F. (2007), Matemáticas de la vida misma, Barcelona: Graó, 284p.
CORBALÁN, F. (2010), La proporción áurea. El lenguaje matemático de la belleza, Barcelona: RBA, 160p.
GHYKA, M. (2006), El número de oro, Barcelona: Poseidón, 212p.
KASNER, E. y NEWMAN, J. (2007), Matemáticas e imaginación, Barcelona: Salvat, 256p. JIMENO, M. (2006), ¿Por qué las niñas y los niños no aprenden matemáticas?, Barcelona:
Octaedro, 336p.
LIVIO, M. (2006), La proporción áurea, Barcelona: Ariel, 344p.
MIRANDA, A., FORTES, C. y GIL, D. (1998), Dificultades del aprendizaje de las matemáticas. Un enfoque evolutivo, Málaga: Aljibe, 215p.
OLSEN, S. (2006), The golden section: Nature’s Greates Secret, New York: Walker & Company, 58p.
STEEN, L.A. (1998), La enseñanza agradable de las matemáticas, México: Limusa, 241p.
VENEGAS, F. (2010), “Taller de Matemáticas en el aula de Secundaria: Aplicaciones del número áureo al conocimiento del medio extremeño”, Candil, 42: 13-15.
INVESTIGATING THE EFFECT OF LIVING SPACE ON THE GROWTH OF PLANTS
RUIZ DE LA CONCHA*; A. LLERA, M. MEGIAS & G. RUIZ
IES RODRÍGUEZ MOÑINO, (Bilingual Section). Avda. República Dominicana, 5. Badajoz 06 011. joseignacio@unex.es
Seeds plants, like all living things, have specific needs to survive and function properly. These needs include sunlight, water, minerals, living space and carbon dioxide. In this investigation it is studied the effect limited living space has on the growth rate of individuals of a seed plant population.
Key words: Seed, Space requirements, Growth rate.
(EFECTO DE ALGUNOS FACTORES LIMITANTES EN EL CRECIMIENTO DE LAS PLANTAS)
Las plantas que crecen tras la germinación de las semillas precisan determinadas condiciones para su supervivencia. Entre estos pueden destacarse las sales minerales, el agua, el dióxido de carbono, la energía del sol y el espacio. En este trabajo se estudia el efecto que la limitación del espacio tiene en el crecimiento de los individuos de una población de plantas formada tras la siembra de semillas.
Palabras clave: Semilla, nutrientes necesarios, tasa de crecimiento.
Scientific method is a model, or guide, used to solve problems. Scientists often state a problem as a question following different steps in a scientific investigation and use many skills to gather information. We probably use some science skills every day, so we would be able to think like a scientist to resolve some problems through experimentation.
The steps to investigate natural events can be listed in different ways according to the authors (BERNSTEIN & cols. 1998; PADILLA & cols. 2005). One example is:
Observation
Identify the Problem or Question
State a Hypothesis
Design an Experiment
Record and Analyze Data
State a Conclusion
Communicate the Results
For plants to survive on land, they must have ways to obtain water and other materials from their surroundings (PADILLA & cols. 2000). Raw materials that organisms use are water, oxygen and
minerals that have been used since life began (REDAL & cols. 2008). LANLY (1996) states that plants need water and mineral salts that they get from the ground, and sunlight, oxygen and carbon dioxide which they obtain from the air.
In this science project we try to use the different steps of the Scientific Method to answer a scientific question.
We used the following materials that we have in our homes (fig. 1).
Potting soil
3 flowerpots of 5 cm in diameter 16 bean seeds
Graduated cylinder Water
Labels Metric rules
After studying in class the scientific method and the unit on plant structure and function, we planned to carry out an experiment that led us to implement the scientific method using the knowledge gained about the reproduction of plants.
![]()
* Coordinating teacher 67

The procedure was as follows:
We filled each flowerpot with soil and labeled them with a number: 1-2-3 (fig. 2).
Figure 1: Materials used in this experiment.
Observation
We have studied the requirements of plants. Plants need water and mineral salts that they absorb from the soil through their roots. Due to this it is said that plants are autotrophic: they produce their own food. For that process they need energy provided by the Sun (sunlight) and carbon dioxide.
Question:
What is the effect of overpopulation on plants in a limited area?
In flowerpot 1, one bean seed was planted by pressing the seed into the soil about one centimeter deep (fig. 3).
In flowerpot 2, we planted five bean seeds at approximately the same distance apart (fig. 4).

Figure 3: Planting a bean seed.
Hypothesis
We think if overpopulation occurs, plants will grow less because they will have insufficient resources to grow.
Experiment
To be able to water and measure plants every day, the experiment took place in our

Figure 4: Five seeds in container 2.

Figure 5: Ten seeds in container 3.
homes. In our school it is very difficult to give water to them every day and keep them in a safe place for three weeks.

Figure 2: Containers with seeds.
In container 3, ten seeds were planted, as shown in figure 5.
In a well-designed experiment, it is necessary to keep all variables the same except for one. In this investigation, the manipulated (independent) variable is living space (different number of seeds in an equal area) and the responding (dependent) variable is the height of plants. Because of that, other factors (sunlight, water, soil, container size, etc.) were kept constant (other factors such as seed age, harvest, etc. we cannot control as we used seeds from home).
We placed all three flowerpots next to each other in a well-lit zone (terrace or outside the window) and watered each with the same volume of water (fig. 6).

Figure 6: Giving water to seeds.
For fifteen days, each flowerpot was given 25 ml of water every two days. However, each plant was measured every day (fig. 7) and the average height of the plants in containers 2 and 3 was calculated. When a seed did not germinate, a height of 0 was recorded for it.

Figure 7: Measuring plants.
As stated above, the height of each plant was recorded every day to determine the average growth for them. After two weeks, we got the following data shown in table I. Fifteen samples of three containers had been analyzed for 15 days. In containers 2 and 3 the average of all five plants (in container 2) or ten plants (in container 3) were calculated every day. Finally, the average of each day was calculated.
We have to clarify that bean seeds take a few days to emerge from the soil.
On the other hand, not all the seeds germinated; it was common that some seeds in container 2 and 3 failed to germinate. If a seed fails to germinate or grow, a height

of 0 was given. In table I the average data of all students is shown.
Table 1 | FLOWERPOT | FLOWERPOT | FLOWERPOT |
Day 1 | 1 1 seed 1.0 | 2 5 seeds 0.7 | 3 10 seeds 0.5 |
2 | 1.7 | 1.6 | 1.1 |
3 | 3.0 | 2.7 | 2.1 |
4 | 5.5 | 3.4 | 2.7 |
5 | 6.8 | 4.4 | 3.6 |
6 | 7.7 | 4.6 | 4.2 |
7 | 8.7 | 5.4 | 4.9 |
8 | 9.5 | 6.3 | 6.1 |
9 | 10.1 | 7.0 | 6.8 |
10 | 10.6 | 7.8 | 7.5 |
11 | 11.2 | 8.4 | 8.2 |
12 | 11.8 | 9.0 | 8.9 |
13 | 12.3 | 10.0 | 9.8 |
14 | 12.6 | 10.8 | 10.5 |
15 | 12.9 | 11.6 | 11.2 |
The graph shown in figure 8 represents plant growth in each container. It is possible to see that all plants grow every day.

Figure 8: Graph showing average height in each container.
69
Figure 9 shows plant growth comparing data of three containers. It is clear that plants in container 1 grew more than plants in containers 2 and 3. As well, it is possible to see that plants in container 2 grew more than those in container 3; nevertheless, difference in growth rates is less than it between containers 1 and 2.
Also, we noted that some beans seeds in container 2 germinated before some seeds in container 1; and some seeds in flowerpot 3 germinated before others in container 2.

Figure 9: Graph showing average height vs. time.
Ours results show that plants in flowerpot 1 demonstrated the greatest growth. Likewise, in flowerpot 2, where
five seeds were planted, plants showed the second greatest growth. Finally, plants in container 3 (ten seeds were planted) had the lowest growth. Since all three flowerpots contained the same amount of soil and water and they received the same amount of sunlight, the difference in the growth rates may be due to the fact that, in containers 2 and 3, water and mineral salts had to be divided among more seeds than in flowerpot 1 (they are overcrowded). This follows what was observed by other authors (MATON, 1999).
On the other hand, why did some bean seeds in container 3 germinate before others in container 2?. We think that it is because a young plant uses the food stored in the cotyledons until it can manufacture its own food through photosynthesis. This coincides with what was said by PADILLA
& cols. (2005) and DANIEL & cols. (1995).
We can state that the difference in the growth rates of the plants in each flowerpot is due to the fact that they have different available living space and, therefore, different amount of soil nutrients and water are received. Also, the overpopulation of plants in a limited area decreases growth rate.
DANIEL, L; ORTLEB E. P. & BIGGS A. (1995). Life Science. Ohio. USA: Ed.
Glencoe/McGrawHill. 745p.
REDAL E. J.; BRANDI A. & GUERRINI M. C. (2008). Natural science. Madrid: Ed.
Santillana-Richmond. 158p.
LANLY J. P. (1996). Ecología y enseñanza rural. FAO. [En línea]
<http://www.fao.org/docrep/006/w1309s/w1309s00.htm#TopOfPage> [consulta: 20-marzo- 2011].
MATON A.; HOPKINS J.; JOHNSON S.; LAHART D.; MCLAUGHLIN C. W.; WARNER
& WRIGHT J. (1994). Laboratory manual. New Jersey. USA: Ed. Prentice Hall. 362p. BERNSTEIN L.; SCHACHTER M.; WINKLER A. & WOLFE S. (2003). Life Science. New
Jersey. USA: Ed. Pearson Education. 416p.
PADILLA, J.; MIAOULIS, I. & MARTHA, C. (2000). Science explorer. From bacteria to plants. New Jersey: Ed. Prentice Hall. 208p.
PADILLA, J.; MIAOULIS, I. & MARTHA, C. (2005). Life science. New Jersey: Ed. Pearson education. 874p.
INDICACIONES Y NORMAS PARA LA PUBLICACIÓN EN MERIDIES
Estructuración del texto (y algunas indicaciones) A una columna y sin ningún tipo de maquetación.
Líneas con interlineado sencillo Evitar sangrías
Letra: Times New Roman 11
TÍTULO Será conciso e ilustrativo del contenido del trabajo
Centrado, letra normal, MAYÚSCULA y negrita.
AUTORES Se indicará el nombre de los alumnos autores. Si se considera oportuno se puede incluir en último lugar el nombre del profesor coordinador del trabajo, marcándose con una llamada esta circunstancia.
Centrado, letra normal y MAYÚSCULA. Inicial/es del nombre seguidas de punto y primer apellido sin abreviaturas. Autores separados por punto y coma ( ; ) o la conjunción y si son los dos últimos.
Centro de trabajo (estudio) de los autores. Se debe indicar la dirección postal completa. Se recomienda añadir una dirección de correo electrónico que pueda servir como vía de contacto.
RESUMEN Recogerá los aspectos más relevantes de los distintos apartados del trabajo. Será breve (máximo 120 palabras) y no tendrá puntos y aparte.
Palabras clave Cinco como máximo. A ser posible no incluidas en el título.
TÍTULO EN INGLÉS Traducción directa al inglés del título en español.
SUMMARY Traducción directa al inglés del resumen en español.
Key Words Traducción directa al inglés de las palabras clave españolas.
INTRODUCCIÓN Ofrecerá un breve recordatorio del tema de estudio con referencia a algunos antecedentes destacables (con las citas oportunas*), justificará el interés del trabajo, las novedades que pretende aportar y los objetivos perseguidos.
MATERIAL Y MÉTODOS Se describirá el proceso seguido para la realización del trabajo de investigación, se hará con detalle pero sin incluir lo obvio. Si el método es bien conocido basta citar alguna fuente donde se recoja (citas*). En este apartado se incluirá, si se considera oportuno, una descripción del área de estudio..
RESULTADOS Y DISCUSIÓN Expondrán los datos obtenidos (tablas y/o figuras), su interpretación y análisis. Los conocimientos derivados del trabajo se deben contrastar con la información obtenida por otros autores (citas*).
· Tablas: Irán numeradas. No se utilizarán colores.
Títulos de tablas: En la parte superior de la tabla.
![]()
Figuras y fotografías: En escala de grises y en páginas aparte. En el caso de las figuras se pide muy especialmente que no se usen colores, sino rayados, punteados o escalas de grises. Irán numeradas.
Pies de figuras: Al pie de cada figura y debe ser suficientemente claro como para permitir su interpretación sin tener que recurrir obligatoriamente al texto del artículo.
AGRADECIMIENTOS (pueden faltar). De existir, deben ser concisos.
BIBLIOGRAFÍA Figurarán sólo las referencias de los trabajos citados en el texto.
![]()
* Citas bibliográficas incluidas en el texto: Se citarán sólo los apellidos en letra mayúscula, seguidos del año de publicación separado por una coma. La cita, normalmente, se incluye entre paréntesis en el lugar que corresponda.
![]()
De libros
APELLIDO(S) DEL (DE LOS) AUTOR(ES), INICIAL(ES) DEL NOMBRE DEL (DE LOS)
AUTOR(ES) (en mayúsculas), • fecha de publicación (entre paréntesis), • título completo del libro (en negrita), • lugar o ciudad, (dos puntos) • editorial, • número de páginas. ISBN:
Ejemplo:
ARIAS, A. I., ROIZ, J. M., y DEHESA, E. (2003), Ciencias de la Tierra y del Medio Ambiente, 2º Bachillerato, Madrid: Ed. Anaya, 424p. ISBN: 978-84-667-8260-9
►
71
AUTOR(ES), (igual que para los libros), • año de publicación (entre paréntesis), • título del artículo (entre comillas) • nombre de la revista (en negrita), • volumen y número [abreviado vol. y n.º] (precedido por coma: • numeración de la primera y última página del artículo, separadas por un guión. ISSN:
Ejemplo:
ARIAS, A. I., BARQUILLA, C., BASCO, R. D., CERCAS, M. T. y NAVAREÑO, V. (2003),
“Taxonomía molecular de bacterias capaces de degradar el alpechín”, Meridies, nº 7: 41-51. ISSN: 1137-8794.
De manera cada vez más frecuente los trabajos de investigación, informes, estados de la cuestión, etc., hacen referencia a documentos y otros recursos de información publicados en formato electrónico (cd-rom, dvd, Internet...). A menudo las listas de referencias bibliográficas que forman parte de estos trabajos incluyen recursos electrónicos y documentos tradicionales (libros, artículos de revista, grabaciones sonoras, etc). Así pues, cuando se cita un recurso electrónico no sólo es necesario que éste sea fácilmente identificable y recuperable a través de los datos bibliográficos reseñados, sino que, además, la referencia debe ser coherente con las de los otros documentos incluidos en la lista, es decir, todas deben seguir un modelo común.
Responsable principal, • Título (en negrita) [tipo de soporte], • Responsable(s) secundario(s), • Edición, • Lugar de publicación: editor, fecha de publicación, fecha de actualización/revisión, • Descripción física. (Colección), • Notas, • Disponibilidad y acceso <dirección de Internet entre paréntesis angulares> [Consulta: Fecha de consulta], • Número normalizado.
Ejemplos:
AINAUD DE LASARTE, J. [cd-rom], En: Enciclopedia multimedia Planeta De Agostini, [Barcelona]: Planeta DeAgostini, DL 1997, Vol. 1. ISBN 84-395-6023-0.
CUERDA, J.L., Para abrir los ojos [en línea], El país digital, 9 mayo 1997, n§ 371.
<http://www.elpais.es/p/19970509/cultura/tesis.htm#uno> [Consulta: 9 mayo 1997].
NAVARRO, F. ¿Y el punto decimal?, En: MedTrad (grupo electrónico de discusión) [en línea], 16.6.2004. Mensaje 012533, archivado en <listserv.rediris.es/archives/MedTrad.html>.
Real Decreto 1737/1997, de 20 de noviembre (BOE del 3.11.1997), <www.boe.es/g/es/boe/días/1997- 12-03/seccion1.php#00001eevvv> [consulta: 10.6.2004].
WIKIPEDIA, La enciclopedia libre. Fotosíntesis [en línea] fecha de actualización/revisión
<http://es.wikipedia.org/wiki/Fotosintesis> [consulta: 28 mayo 2010].
Tamaño de la comunicación. No será superior a 10 páginas, A4, incluidas tablas, figuras y bibliografía. Forma de envío: El trabajo se enviará a la SECRETARÍA DE REDACCIÓN a través de correo electrónico
[ revistameridies@yahoo.es ] sin comprimir (varios ficheros si tuviera mucho peso) en formato Word para Windows 97, 2000 o XP y las figuras, especialmente si se trata de fotografías, en formato JPEG. Irá acompañado de una nota de presentación del trabajo firmada por un profesor de los autores. Una vez recibido el artículo, la secretaría de redacción confirmará ese hecho y realizará una rápida revisión para asegurar que no ha habido problemas de formato. Si existieran problemas se solucionarán según sean las circunstancias y se indicará la forma de proceder a cada caso concreto. En principio no es necesario enviar copia en papel, ni en CD o DVD.
Se reciben los artículos, para su posible publicación, a lo largo de todo el año. Una vez revisado por miembros del Consejo de Redacción y del Consejo Asesor, el trabajo puede ser admitido para ser publicado. Para agilizar el proceso, el Consejo de Redacción introducirá, si fuera factible, las posibles modificaciones apuntadas por los correctores, siempre que éstas no modifiquen sustancialmente el artículo. Si el artículo requiriera modificaciones importantes se remitirá a los autores para que procedan a su rectificación. Salvo petición expresa no se devuelven los originales.
MERIDIES aparece cada año en la primera quincena de junio.
Si quieres recibir MERIDIES puntualmente solicítalo en revistameridies@yahoo.es
Investigación en Secundaria (I.e.S.)
La asociación de profesores Investigación en Secundaria (I.e.S.) agrupa a profesores españoles que entienden la iniciación al trabajo científico, entre jóvenes estudiantes de Secundaria, como una estrategia de motivación y aprendizaje. Desde 1996 trabaja para facilitar cauces que faciliten a profesores y estudiantes, españoles y extranjeros, el desarrollo de esta estrategia.
Desde entonces, edita cada año esta revista MERIDIES, convoca y prepara, una Reunión Científica anual para estudiantes, coordina la exposición itinerante de paneles científicos Ciencia en ruta, programa el desarrollo de las actividades Coloquios Científicos y Encuentro entre dos mundos. También han participado en la organización y desarrollo de diversos cursos y seminarios de fomento de la investigación joven tanto en España como en el extranjero.
Las actividades que realiza y promueve esta asociación han sido reconocidas en varias ocasiones con premios prestigiosos como el Giner de los Ríos o el Nacional de Innovación Educativa.
REUNIONES CIENTÍFICAS
Las Reuniones Científicas para estudiantes de secundaria se vienen celebrando, a primeros de marzo, en diferentes localidades de Extremadura desde 1997. Todas ellas con apretados programas que han incluido varias sesiones de ponencias orales con sus debates y un amplio periodo para la exposición y defensa de los paneles científicos presentados por todos los participantes. El programa se completa siempre con visitas didácticas a centros tecnológicos o de investigación, y exposiciones o demostraciones de carácter científico.
Dependiendo de la localidad donde se realice, la participación puede ser más o menos amplia, pero suele estar alrededor de los 350 estudiantes y unos 70 profesores de más de medio centenar de centros españoles y extranjeros. Se trata un encuentro donde, tanto alumnos como profesores, intercambian proyectos, inquietudes y experiencias.
La Reunión Científica recae cada año en un centro asociado que la solicita y recibe el apoyo de la I.e.S., contando con el compromiso de los Centros de Profesores y Recursos. La próxima reunión tendrá lugar los días 1 y 2 de marzo de 2012.

![]()
![]()
CIENCIA EN RUTA
Se trata de la exposición itinerante de los paneles científicos presentados cada año en la Reunión Científica. Esta exposición recorre los centros que lo solicitan y permanece en ellos una semana, durante la cual cada centro organiza en torno a ella las actividades que cree más adecuadas y que, en ocasiones, se abre a otros centros de la localidad.
COLOQUIOS CIENTÍFICOS
Se organizan coloquios en las aulas propias de los alumnos, con científicos e investigadores relevantes. Se realizan simultáneamente en varios centros, permitiendo también encuentros previos y posteriores entre los profesores de secundaria y estos investigadores.
ENCUENTRO ENTRE DOS MUNDOS
Encuentros en las aulas con profesores y alumnos sudamericanos que exponen y debaten sobre diversas realidades educativas de sus países.
También se realiza en varios centros para facilitar el contacto entre los profesores suramericanos y españoles.
MERIDIES
La revista que ahora tiene en sus manos.
Forman parte de la asociación tanto profesores como centros de enseñanza (éstos en calidad de socios protectores) de toda España.
Para participar en las actividades que promueve basta asociarse a través de la página de la asociación www.meridies.info. Los profesores de I.e.S. te invitan a hacerlo.